Pharmacokinetics of ceftolozane with tazobactam in critically ill patients - Bayesian approach

Authors

Paulina Okuńska (okunskapaul@gmail.com)

Pawel Wiczling

Published

March 27, 2026

Introduction

Comprehensive Bayesian model analysis of population pharmacokinetics of ceftolozane/tazobactam. This script includes analyses of MCMC chains, assessments of model goodness-of-fit, and probability of target attainment (PTA) analyses comparing a one-compartment covariance model, a one-compartment bootstrap model, and a two-compartment Bayesian model.

piors based on: Larson, K. B. et al. Ceftolozane-Tazobactam Population Pharmacokinetics and Dose Selection for Further Clinical Evaluation in Pediatric Patients with Complicated Urinary Tract or Complicated Intra-Abdominal Infections. https://doi.org/10

Settings

Code
options(renv.config.dependencies.limit = Inf)
renv::status()
A large number of files (21418 in total) have been discovered.
It may take renv a long time to scan these files for dependencies.
Consider using .renvignore to ignore irrelevant files.
See `]8;;x-r-help:renv::dependencies?renv::dependencies]8;;` for more information.
Set `options(renv.config.dependencies.limit = Inf)` to disable this warning.


NOTE: Dependency discovery took 99 seconds during snapshot.
Consider using .renvignore to ignore files, or switching to explicit snapshots.
See `]8;;x-r-help:renv::dependencies?renv::dependencies]8;;` for more information.

- D:/PROJECTS/ceftolozane-tazobactam/model/nonmem/bootstrap/bs   : 1502 files
- D:/PROJECTS/ceftolozane-tazobactam/model/nonmem/bootstrap/bs102: 1502 files

WARNING: One or more problems were discovered while enumerating dependencies.

# ceftolozane-tazobactam/model/nonmem/bootstrap/bs ---------------------------
Error: directory contains 1504 files; consider ignoring this directory

# ceftolozane-tazobactam/model/nonmem/bootstrap/bs102 ------------------------
Error: directory contains 1504 files; consider ignoring this directory

Please see `]8;;x-r-help:renv::dependencies?renv::dependencies]8;;` for more information.

No issues found -- the project is in a consistent state.
Code
knitr::opts_chunk$set(
  echo = TRUE, 
  eval = TRUE,
  warning = FALSE,
  message = FALSE,
  cache = TRUE, 
  dpi = 300)

library(pracma)
library(bbr)
library(bbr.bayes)
library(bayesplot)
library(dplyr)
library(ggplot2)
library(patchwork)
library(mrgsolve)
library(mrggsave)
library(vpc)
library(pmplots)
library(naniar)
library(knitr)
library(data.table)
library(tidyverse)
library(stable)
library(glue)
library(whisker)
library(here)
library(scales)
library(pmplots)
library(pmtables) 
library(nmrec)
library(cmdstanr)
library(gridExtra)
library(cowplot)
#library(posterior)
library(magrittr)
library(yaml)
library(magick)
library(patchwork)
library(loo)
library(tidybayes)
library(furrr) 
library(future)
library(rlang)
library(simpar)
library(MESS)
library(PKNCA)
library(conflicted)
library(parallel)

suppressPackageStartupMessages(library(posterior))
suppressPackageStartupMessages(library(tidyverse))

# conflicts

conflict_prefer("filter", "dplyr")
conflict_prefer("select", "dplyr")
conflict_prefer("summarize", "dplyr")
conflict_prefer("as.data.frame", "base")
conflict_prefer("sd", "posterior")
conflict_prefer("mad", "posterior")
conflict_prefer("rhat", "posterior")

set_cmdstan_path("D:/Torsten-master/cmdstan")

# helper functions
source(here::here("scripts/helpers/functions-table.R"))
source(here::here("scripts/helpers/functions-plots.R"))
source(here::here("scripts/helpers/functions-mcmc-diagnostics.R"))
source(here::here("scripts/helpers/functions-diagnostics-rhat-ess.R"))
source(here::here("scripts/helpers/resampling_functions.R"))

# table summary 

sigfun = function(.x){sig(.x,digits=3)}

thisScript <- "ceftaz-analysis-bayes_stan.qmd"

thisScript <- params$script
options(
  mrg.script = params$script,
  mrggsave.dev = "pdf,png"
)
Code
#directory
data_dir <- here::here("data","derived") 
model_dir <- here::here("model","BAYES")  
figure_dir <- here::here("deliv","figures")
table_dir <- here::here("deliv","tables")
figure_mcmc_dir <- here::here("deliv", "figures", "MCMC")

thisFigDir <- file.path(figure_mcmc_dir, params$run)
options(mrggsave.dir = thisFigDir)

source(here("scripts/helpers/helper_model_diagnostic.R"))

if (!file.exists(figure_mcmc_dir)) dir.create(figure_mcmc_dir)

cmdstanr::check_cmdstan_toolchain()

#bbr

options(bbr.bbi_exe_path = "C:/Users/pauoku/AppData/Roaming/bbi/bbi.exe") ### need to be changed to your directory

bbr::use_bbi()
Installing bbi on a windows system
────────────────────────────────────────────────────────────────────────────────
 - Installed Version: 3.4.0  - Current release: 3.4.0
Code
bbi_init(.dir = model_dir,            # the directory to create the bbi.yaml in
         .nonmem_dir = "C:/",         # location of NONMEM installation
         .nonmem_version = "nm75g64",  # default NONMEM version to use
.bbi_args = list(
      parallel = TRUE,
      threads = 4
    )
)

#       mpi_exec_path ="C:/nm75g64/run/psexec",
#       parafile = "C:/nm75g64/run/fpiwini8.pnm",

this_theme <- pmplots::pm_theme() + theme(text = element_text(size = 12), axis.text = element_text(size = 10))
theme_set(this_theme)

Data

Load data:

Code
xdata <- read.csv(paste0(data_dir, "/", "RawData.csv", na.strings = "."))

head(xdata)
  ID NUM TIME DV  AMT RATE ADDL II CMT MDV EVID HEIGHT  BW SEX AGE SOFA   PCT
1  1   1  0.0  0 2000 2000    2  8   1   1    1    180 150   1  46   13 12.55
2  1   2  0.0  0 1000 1000    2  8   3   1    1    180 150   1  46   13 12.55
3  1   3  0.0  0    0    0    0  0   1   1    2    180 150   1  46   13 12.55
4  1   4  0.0  0    0    0    0  0   3   1    2    180 150   1  46   13 12.55
5  1   5  0.2  0    0    0    0  0   1   1    2    180 150   1  46   13 12.55
6  1   6  0.2  0    0    0    0  0   3   1    2    180 150   1  46   13 12.55
  ECMO CRRT ELWI    CI  CRE ALB PROTEIN
1    1    1   17 2.815 2.36 2.7    5.71
2    1    1   17 2.815 2.36 2.7    5.71
3    1    1   17 2.815 2.36 2.7    5.71
4    1    1   17 2.815 2.36 2.7    5.71
5    1    1   17 2.815 2.36 2.7    5.71
6    1    1   17 2.815 2.36 2.7    5.71

Stan

Code
mod5  <- read_model(file.path(model_dir, params$run))
mod5

── STAN Model Status ────────────────────────────

• Finished Running

── Absolute Model Path ───────────────────────────

• D:/PROJECTS/ceftolozane-tazobactam/model/BAYES/5

── YAML & Model Files ───────────────────────────

• D:/PROJECTS/ceftolozane-tazobactam/model/BAYES/5.yaml

• D:/PROJECTS/ceftolozane-tazobactam/model/BAYES/5/5.stan

• D:/PROJECTS/ceftolozane-tazobactam/model/BAYES/5/5-standata.R

• D:/PROJECTS/ceftolozane-tazobactam/model/BAYES/5/5-init.R

Code
mod5_res <- read_fit_model(mod5)

Diagnostics from cmdstanr

Tables

Code
pars = c("lp__", "CLCHat", "QCHat", "V1CHat", "V2CHat",
         "CLTHat", "QTHat", "V1THat", "V2THat",
         "omega", "sigma","nu")
ptable <- mod5_res$summary(c(pars)) %>%
  mutate_if(is.numeric, ~formatC(., 3)) %>% 
  rename(parameter = variable) %>%
  mutate("90% CI" = paste("(", q5, ", ", q95, ")", 
                          sep = "")) %>%
select(parameter, mean, median, sd, mad, "90% CI", ess_bulk, ess_tail, rhat)
ptable
# A tibble: 21 × 9
   parameter mean    median sd     mad    `90% CI`      ess_bulk  ess_tail rhat 
   <chr>     <chr>   <chr>  <chr>  <chr>  <chr>         <chr>     <chr>    <chr>
 1 lp__      "-3.05" -2.7   10.1   10.1   (-19.8, 13.2) "1.25e+0… 2.22e+03 "   …
 2 CLCHat    "5.79"  5.74   0.709  0.692  (4.71, 7.06)  " 832"    1.47e+03 "1.0…
 3 QCHat     "2.67"  2.58   0.717  0.67   (1.69, 3.95)  "5.78e+0… 3.15e+03 "   …
 4 V1CHat    "22.4"  22.3   2.81   2.73   (17.7,   27)  "1.91e+0… 2.34e+03 "   …
 5 V2CHat    "4.41"  4.28   1.15   1.09   (2.81, 6.51)  "6.28e+0… 3.12e+03 "   …
 6 CLTHat    "15.4"  15.2   1.72   1.66   (12.8, 18.4)  "1.81e+0… 2.61e+03 "   …
 7 QTHat     "4.55"  4.43   1.15   1.13   (2.92, 6.64)  "5.82e+0… 3.09e+03 "   …
 8 V1THat    "  36"  35.9   5.37   5.42   (27.2,   45)  "2.16e+0… 2.9e+03  "   …
 9 V2THat    "5.26"  5.11   1.29   1.26   (3.44, 7.56)  "6.4e+03" 2.17e+03 "   …
10 omega[1]  "0.471" 0.464  0.0711 0.0667 (0.366,  0.6) "1.82e+0… 2.41e+03 "   …
# ℹ 11 more rows
Code
pars1 <- c("CLCHat", "QCHat", "V1CHat", "V2CHat",
           "CLTHat", "QTHat", "V1THat", "V2THat",
           "omega", "sigma", "nu")

thetas <- c("CLCHat", "QCHat", "V1CHat", "V2CHat",
            "CLTHat", "QTHat", "V1THat", "V2THat")

rest   <- c("omega[1]", "omega[2]", "omega[3]", "omega[4]", 
            "omega[5]", "omega[6]", "omega[7]", "omega[8]",
            "sigma[1]", "sigma[2]", "nu[1]", "nu[2]")

theta_names <- c("CLC", "QC", "V1C", "V2C", "CLT", "QT", "V1T", "V2T") 

ptable_all <- mod5_res$summary(c(pars1)) %>%
  mutate_if(is.numeric, ~formatC(., 3)) %>%
  rename(parameter = variable) %>%
  mutate(`90% CI` = paste0("(", q5, ", ", q95, ")")) %>%
  select(parameter, mean, median, sd, mad, `90% CI`, rhat)

gtGreek <- function(text) {
  case_when(
    text %in% c("CLC", "QC", "V1C", "V2C", "CLT", "QT", "V1T", "V2T") ~ 
      paste0("\\theta_{\\text{", text, "}}"),
    text == "omega" ~ "\\Omega",
    text == "sigma" ~ "\\Sigma",
    text == "nu"    ~ "\\nu",
    TRUE ~ text)
}

mathMode <- function(x) paste0("$", x, "$")

formatGreekNames <- function(df) {
  df %>%
    mutate(is_theta = str_ends(parameter, "Hat$"),
           base = if_else(is_theta, str_remove(parameter, "Hat$"), parameter)) %>%
    mutate(greek = mathMode(gtGreek(base))) %>%
    select(parameter = greek,
           mean, median, sd, mad, `90% CI`, rhat)
}

ptable1_greek <- ptable_all %>%
  filter(parameter %in% thetas) %>%
  formatGreekNames()

ptable2_greek <- ptable_all %>%
  filter(parameter %in% rest) %>%
  formatGreekNames()

param_df <- bind_rows(ptable1_greek, ptable2_greek) %>%
  arrange(!str_detect(parameter, "Omega|Sigma|nu"), parameter)

footAbbrev <- "Abbreviations: SD = standard deviation; MAD = Median Absolute Deviation; CI = confidence intervals; R-hat = Gelman–Rubin convergence diagnostic"

fixed <- param_df %>%
  st_new() %>%
  st_center(desc = col_ragged(6.5), abb = "l") %>%
  st_rename("Mean" = "mean", "Median" = "median", "SD" = "sd", "MAD" = "mad") %>%
  st_blank("abb", "greek", "desc") %>%
  st_files(r = NULL) %>%
  st_notes(footAbbrev) %>%
  st_noteconf(type = "minipage") %>%
  stable() 
Code
st_as_image(fixed)

Code
ptable_rest <- mod5_res$summary(rest) %>%
  mutate_if(is.numeric, ~formatC(., 3)) %>%
  rename(parameter = variable) %>%
  mutate(`90% CI` = paste0("(", q5, ", ", q95, ")")) %>%
  select(parameter, mean, median, sd, mad, `90% CI`, rhat) %>%
  mutate(base = str_extract(parameter, "^[a-z]+"),
         index = as.numeric(str_extract(parameter, "\\d+")),
         index_text = case_when(
           base == "omega" ~ theta_names[index],
           base == "sigma" ~ paste0("sigma", index),
           base == "nu"    ~ paste0("nu", index)),
         parameter = case_when(
           base == "omega" ~ paste0("$\\Omega_{\\text{", index_text, "}}$"),
           base == "sigma" ~ paste0("$\\Sigma_{", index, "}$"),
           base == "nu"    ~ paste0("$\\nu_{",    index, "}$"))) %>%
  select(-base, -index, -index_text)

rests <- ptable_rest %>%
  st_new() %>%
  st_center(desc = col_ragged(6.0), abb = "l") %>%
  st_rename("Mean" = "mean", "Median" = "median", "SD" = "sd", "MAD" = "mad") %>%
  st_blank("abb", "greek", "desc") %>%
  st_files(r = NULL) %>%
  st_notes(footAbbrev) %>%
  st_noteconf(type = "minipage") %>%
  stable() 
Code
st_as_image(rests)

Code
theta_params <- thetas
omega_sigma_params <- rest[str_detect(rest, "omega|sigma")]
other_params <- rest[str_detect(rest, "nu")]
sigma_params <- c("sigma[1]", "sigma[2]")

footAbbrev <- "Abbreviations: SD = standard deviation; MAD = Median Absolute Deviation; CI = confidence intervals; R-hat = Gelman–Rubin convergence diagnostic"

pars <- c("lp__", pars1)

draws <- mod5_res$draws(pars)

sig <- function(x, digits=2) round(x, digits)

ptable_all <- summarise_draws(
  draws,
  mean,
  median,
  sd,
  mad,
  q2.5  = ~quantile(.x, 0.025),
  q5    = ~quantile(.x, 0.05),
  q95   = ~quantile(.x, 0.95),
  q97.5 = ~quantile(.x, 0.975),
  ess_bulk,
  ess_tail,
  rhat) %>%
  rename(parameter = variable) %>%
  mutate(
     `%RSE` = if_else(mean != 0, (sd / mean) * 100, NA_real_),    
    `CV%`  = if_else(parameter %in% omega_sigma_params & mean != 0, (sd / mean) * 100, NA_real_)) %>% 
  mutate(
    `%RSE` = if_else(parameter %in% theta_params, formatC(`%RSE`, format = "f", digits = 2), NA_character_),
    `CV%`  = if_else(parameter %in% omega_sigma_params, formatC(`CV%`, format = "f", digits = 3), NA_character_)) %>%  
  mutate(
    mean  = if_else(parameter %in% theta_params, formatC(mean,  format = "f", digits = 2),
                     formatC(mean,  format = "f", digits = 3)),
    median= if_else(parameter %in% theta_params, formatC(median, format = "f", digits = 2),
                     formatC(median, format = "f", digits = 3)),
    sd    = if_else(parameter %in% theta_params, formatC(sd, format = "f", digits = 2),
                     formatC(sd, format = "f", digits = 3)),
    mad   = if_else(parameter %in% theta_params, formatC(mad, format = "f", digits = 2),
                     formatC(mad, format = "f", digits = 3)),
    `%RSE`= if_else(parameter %in% theta_params, formatC(`%RSE`, format = "f", digits = 2), `%RSE`),
    `CV%` = if_else(parameter %in% omega_sigma_params, formatC(`CV%`, format = "f", digits = 2), `CV%`),
    `2.5%`  = if_else(parameter %in% theta_params,
                       formatC(as.numeric(`2.5%`), format = "f", digits = 2),
                       if_else(parameter %in% sigma_params, 
                               formatC(as.numeric(`2.5%`), format = "f", digits = 4),
                               formatC(as.numeric(`2.5%`), format = "f", digits = 3))),
    `5%`    = if_else(parameter %in% theta_params,
                       formatC(as.numeric(`5%`), format = "f", digits = 2),
                       if_else(parameter %in% sigma_params,
                               formatC(as.numeric(`5%`), format = "f", digits = 4),
                               formatC(as.numeric(`5%`), format = "f", digits = 3))),
    `95%`   = if_else(parameter %in% theta_params,
                       formatC(as.numeric(`95%`), format = "f", digits = 2),
                       if_else(parameter %in% sigma_params,
                               formatC(as.numeric(`95%`), format = "f", digits = 4),
                               formatC(as.numeric(`95%`), format = "f", digits = 3))),
    `97.5%` = if_else(parameter %in% theta_params,
                       formatC(as.numeric(`97.5%`), format = "f", digits = 2),
                       if_else(parameter %in% sigma_params,
                               formatC(as.numeric(`97.5%`), format = "f", digits = 4),
                               formatC(as.numeric(`97.5%`), format = "f", digits = 3)))) %>%
    mutate(across(c("mean", "sd", "2.5%", "97.5%"), 
                  ~if_else(parameter %in% c("sigma[1]", "sigma[2]"),
                           formatC(as.numeric(.), format = "f", digits = 4), .))) %>% 
  mutate(`90% CI` = paste0("(", `5%`, ", ", `95%`, ")"),
         `95% CI` = paste0("(", `2.5%`, ", ", `97.5%`, ")")) %>% 
  mutate(ess_bulk = round(ess_bulk, 0), ess_tail = round(ess_tail,0), rhat = round(rhat, 2)) %>% 
  select(parameter, mean, median, sd, mad, `%RSE`, `CV%`,  `95% CI`, ess_bulk, ess_tail, rhat) #`90% CI`,

gtGreek <- function(text) {
  case_when(
    text %in% c("CLC", "QC", "V1C", "V2C", "CLT", "QT", "V1T", "V2T") ~ 
      paste0("\\theta_{\\text{", text, "}}"),
    text == "omega" ~ "\\Omega",
    text == "sigma" ~ "\\Sigma",
    text == "nu"    ~ "\\nu",
    TRUE ~ text
  )
}

mathMode <- function(x) paste0("$", x, "$")

formatGreekNames <- function(df) {
  df %>%
    mutate(is_theta = str_ends(parameter, "Hat$"),
           base = if_else(is_theta, str_remove(parameter, "Hat$"), parameter)) %>%
    mutate(greek = mathMode(gtGreek(base))) %>%
    select(parameter = greek,
           mean, median, sd, mad, `%RSE`, `CV%`,  `95% CI`, ess_bulk, ess_tail, rhat) #`90% CI`,
}

ptable1_greek <- ptable_all %>%
  filter(parameter %in% thetas) %>%
  formatGreekNames()

ptable2_greek <- ptable_all %>%
  filter(parameter %in% rest) %>%
  formatGreekNames()

param_df <- bind_rows(ptable1_greek, ptable2_greek) %>%
  arrange(!str_detect(parameter, "Omega|Sigma|nu"), parameter)

fixed <- param_df %>%
  st_new() %>%
  st_center(desc = col_ragged(6.5), abb = "l") %>%
  st_rename("Mean" = "mean", "Median" = "median", "SD" = "sd", "MAD" = "mad") %>%
  st_blank("abb", "greek", "desc") %>%
  st_files(r = NULL) %>%
  st_notes(footAbbrev) %>%
  st_noteconf(type = "minipage") %>%
  stable()  
Code
st_as_image(fixed)

Code
ptable_rest <- ptable_all %>%
  filter(parameter %in% rest) %>%
  mutate(base = str_extract(parameter, "^[a-z]+"),
         index = as.numeric(str_extract(parameter, "\\d+")),
         index_text = case_when(
           base == "omega" ~ theta_names[index],
           base == "sigma" ~ paste0("sigma", index),
           base == "nu"    ~ paste0("nu", index)),
         parameter = case_when(
           base == "omega" ~ paste0("$\\Omega_{\\text{", index_text, "}}$"),
           base == "sigma" ~ paste0("$\\Sigma_{", index, "}$"),
           base == "nu"    ~ paste0("$\\nu_{",    index, "}$"))) %>%
  select(parameter, mean, median, sd, mad, `%RSE`,`CV%`,  `95% CI`, rhat) #`90% CI`,

rests <- ptable_rest %>%
  st_new() %>%
  st_center(desc = col_ragged(6.0), abb = "l") %>%
  st_rename("Mean" = "mean", "Median" = "median", "SD" = "sd", "MAD" = "mad") %>%
  st_blank("abb", "greek", "desc") %>%
  st_files(r = NULL) %>%
  st_notes(footAbbrev) %>%
  st_noteconf(type = "minipage") %>%
  stable() 
Code
st_as_image(rests)

Code
pars2 = c("lp__", "rho")
ptable <- mod5_res$summary(c(pars2)) %>%
  mutate_if(is.numeric, ~formatC(., 3)) %>% 
  rename(parameter = variable) %>%
  mutate("90% CI" = paste("(", q5, ", ", q95, ")", 
                          sep = "")) %>%
select(parameter, mean, median, sd, mad, "90% CI", ess_bulk, ess_tail, rhat)
ptable
# A tibble: 65 × 9
   parameter mean       median     sd     mad   `90% CI` ess_bulk ess_tail rhat 
   <chr>     <chr>      <chr>      <chr>  <chr> <chr>    <chr>    <chr>    <chr>
 1 lp__      "-3.05"    "-2.7"     "10.1" "10.… (-19.8,… "1.25e+… "2.22e+… "   …
 2 rho[1,1]  "   1"     "   1"     "   0" "   … (   1, … "  NA"   "  NA"   "  N…
 3 rho[2,1]  "-0.0155"  "-0.0149"  "0.19… "0.2… (-0.342… "6.45e+… "2.86e+… "   …
 4 rho[3,1]  "0.171"    "0.174"    "0.16… "0.1… (-0.097… "2.79e+… "3.18e+… "   …
 5 rho[4,1]  "0.0305"   "0.0329"   "0.19… "0.1… (-0.286… "5.5e+0… "2.45e+… "   …
 6 rho[5,1]  "0.265"    "0.272"    "0.15… "0.1… (-0.000… "3.47e+… "2.86e+… "   …
 7 rho[6,1]  "0.000133" "-0.00071" "0.18… "0.1… (-0.309… "6.91e+… "2.8e+0… "   …
 8 rho[7,1]  "0.173"    "0.176"    "0.15… "0.1… (-0.087… "2.66e+… "2.6e+0… "   …
 9 rho[8,1]  "0.0245"   "0.0265"   "0.18… "0.1… (-0.292… "7.48e+… "3.08e+… "   …
10 rho[1,2]  "-0.0155"  "-0.0149"  "0.19… "0.2… (-0.342… "6.45e+… "2.86e+… "   …
# ℹ 55 more rows

MCMC

Code
color_scheme_set("mix-blue-red")

bayesplot::mcmc_trace(mod5_res$draws(pars)) + legend_move("bottom")

Code
bayesplot::mcmc_trace(mod5_res$draws(pars[1:9])) + legend_move("bottom")

Code
bayesplot::mcmc_trace(mod5_res$draws(pars[10])) + legend_move("bottom")

Code
bayesplot::mcmc_trace(mod5_res$draws(pars[11:12])) + legend_move("bottom")

Code
bayesplot::mcmc_dens_overlay(mod5_res$draws(pars)) + legend_move("bottom")

Code
bayesplot::mcmc_dens_overlay(mod5_res$draws(pars[1:9])) + legend_move("bottom")

Code
bayesplot::mcmc_dens_overlay(mod5_res$draws(pars[10])) + legend_move("bottom")

Code
bayesplot::mcmc_dens_overlay(mod5_res$draws(pars[11:12])) + legend_move("bottom")

Code
bayesplot::mcmc_trace_highlight(mod5_res$draws(pars)) + legend_move("bottom")

Code
bayesplot::mcmc_trace_highlight(mod5_res$draws(pars[1:9])) + legend_move("bottom")

Code
bayesplot::mcmc_trace_highlight(mod5_res$draws(pars[10])) + legend_move("bottom")

Code
bayesplot::mcmc_trace_highlight(mod5_res$draws(pars[11:12])) + legend_move("bottom")

Code
bayesplot::mcmc_rank_overlay(mod5_res$draws(pars)) + legend_move("bottom")

Code
bayesplot::mcmc_rank_overlay(mod5_res$draws(pars[1:9])) + legend_move("bottom")

Code
bayesplot::mcmc_rank_overlay(mod5_res$draws(pars[10])) + legend_move("bottom")

Code
bayesplot::mcmc_rank_overlay(mod5_res$draws(pars[11:12])) + legend_move("bottom")

Code
plot_title <- ggtitle("Posterior distributions",
                      "with medians and 80% intervals")

# bayesplot::mcmc_areas(mod5_res$draws(pars[1]),prob = 0.8) + plot_title + legend_move("bottom")
# bayesplot::mcmc_areas(mod5_res$draws(pars[2:5]),prob = 0.8) + plot_title + legend_move("bottom")
# bayesplot::mcmc_areas(mod5_res$draws(pars[6:9]),prob = 0.8) + plot_title + legend_move("bottom")
# bayesplot::mcmc_areas(mod5_res$draws(pars[10]),prob = 0.8) + plot_title + legend_move("bottom")
# bayesplot::mcmc_areas(mod5_res$draws(pars[11]),prob = 0.8) + plot_title + legend_move("bottom")
# bayesplot::mcmc_areas(mod5_res$draws(pars[12]),prob = 0.8) + plot_title + legend_move("bottom")
Code
plot_title <- ggtitle("Posterior distributions",
                      "with medians and 80% intervals")

bayesplot::mcmc_areas(mod5_res$draws(pars[1]),prob = 0.8) + plot_title + legend_move("bottom") + scale_y_discrete(labels = c("lp__" = expression(lp)))

Code
bayesplot::mcmc_areas(mod5_res$draws(pars[2:5]),prob = 0.8) + plot_title + legend_move("bottom") +
  scale_y_discrete(labels = c("CLCHat" = expression(theta[CLC]), 
                              "QCHat" = expression(theta[QC]),
                              "V1CHat" = expression(theta[V1C]),
                              "V2CHat" = expression(theta[V2C])),
                   limits = t(rev(c("CLCHat", "QCHat", "V1CHat",  "V2CHat" ))))

Code
bayesplot::mcmc_areas(mod5_res$draws(pars[6:9]),prob = 0.8) + plot_title + legend_move("bottom") +
  scale_y_discrete(labels = c("CLTHat" = expression(theta[CLT]),
                              "QTHat" = expression(theta[QT]),
                              "V1THat" = expression(theta[V1T]),
                              "V2THat" = expression(theta[V2T])),
                   limits = t(rev(c("CLTHat", "QTHat", "V1THat",  "V2THat" ))))

Code
bayesplot::mcmc_areas(mod5_res$draws(pars[10]),prob = 0.8) + plot_title + legend_move("bottom") +
  scale_y_discrete(labels = c("omega[1]" = expression(omega[CLC]), 
                              "omega[2]" = expression(omega[QC]),
                              "omega[3]" = expression(omega[V1C]),
                              "omega[4]" = expression(omega[V2C]),
                              "omega[5]" = expression(omega[CLT]),
                              "omega[6]" = expression(omega[QT]),
                              "omega[7]" = expression(omega[V1T]),
                              "omega[8]" = expression(omega[V2T])), 
                   limits = t(rev(c("omega[1]","omega[2]","omega[3]","omega[4]","omega[5]","omega[6]","omega[7]","omega[8]"))))

Code
bayesplot::mcmc_areas(mod5_res$draws(pars[11]),prob = 0.8) + plot_title + legend_move("bottom") + 
  scale_y_discrete(labels = c("sigma[1]" = expression(sigma[C]),
                              "sigma[2]" = expression(sigma[T])),
                    limits = rev(c("sigma[1]", "sigma[2]")))

Code
bayesplot::mcmc_areas(mod5_res$draws(pars[12]),prob = 0.8) + plot_title + legend_move("bottom") +
  scale_y_discrete(labels = c("nu[1]" = expression(nu[C]),
                              "nu[2]" = expression(nu[T])),
                   limits = rev(c("nu[1]", "nu[2]")))

Shrinkage

Code
etas <-  posterior::as_draws_df(mod5_res$draws("etaM"))%>%
  mutate(across(starts_with("eta"), ~log(.x)))
#errors <-  posterior::as_draws_df(mod_to_plot$draws("errors"))

bbr.bayes::shrinkage(etas,"etaM",group_idx = 1, use_sd = TRUE)
[1]  1.334402 91.889476  9.699804 77.705992  2.134020 97.305293  6.629240
[8] 76.997091
Code
#bbr.bayes::shrinkage(errors,"errors", use_sd = TRUE)

ETAS vs. covariates

Code
etaM <- extract_etas_fun(mod5_res,xdata)

model_figures_dir <- here::here("deliv", "figures", "BAYES")

cont_cov = c("AGE//Age,y","BW//Body Weight, kg")
cat_cov = c("SEX//Sex")

p1 <- map(cont_cov, \(x) fun_cont_cov(x,etaM))
p2 <- map(cat_cov, \(x) fun_cat_cov(x,etaM))

plots <- c(p1, p2)
plots
[[1]]


[[2]]


[[3]]

Code
map(1:length(plots), \(x) ggsave(filename = here::here(model_figures_dir, 
                                 glue::glue("cov-plots-{x}.png")),
                                 plot = plots[[x]], 
                                 width=12, height=10, 
                                 dpi=600, units="cm"))
[[1]]
[1] "D:/PROJECTS/ceftolozane-tazobactam/deliv/figures/BAYES/cov-plots-1.png"

[[2]]
[1] "D:/PROJECTS/ceftolozane-tazobactam/deliv/figures/BAYES/cov-plots-2.png"

[[3]]
[1] "D:/PROJECTS/ceftolozane-tazobactam/deliv/figures/BAYES/cov-plots-3.png"

ETA correlation

Code
t1 <- etaM  %>% 
  filter(type %in% c("V1C", "V1T")) %>% 
  pivot_wider(values_from = 3:6, names_from = "type") %>% 
  ggplot() +
  geom_point(aes(x = medianInd_V1C, y = medianInd_V1T))


t2 <- etaM  %>% 
  filter(type %in% c("CLC", "CLT")) %>% 
  pivot_wider(values_from = 3:6, names_from = "type") %>% 
  ggplot() +
  geom_point(aes(x = medianInd_CLC, y = medianInd_CLT))

t1 + t2

Code
etaM  %>% 
  filter(type %in% c("CLC", "CLT", "V1C", "V1T")) %>% 
  pivot_wider(values_from = 3:6, names_from = "type") %>% 
  pairs_plot(c("medianInd_CLC//CLC", "medianInd_CLT//CLT", "medianInd_V1C//V1C","medianInd_V1T//V1T"))

Code
etaM  %>% 
  filter(type %in% c("CLC", "CLT", "V1C", "V1T", "QC", "QT", "V2C", "V2T")) %>% 
  pivot_wider(values_from = 3:6, names_from = "type") %>% 
  pairs_plot(c("medianInd_CLC//CLC", "medianInd_CLT//CLT", "medianInd_V1C//V1C","medianInd_V1T//V1T", "medianInd_QC//QC", "medianInd_QT//QT", "medianInd_V2C//V2C","medianInd_V2T//V2T"))

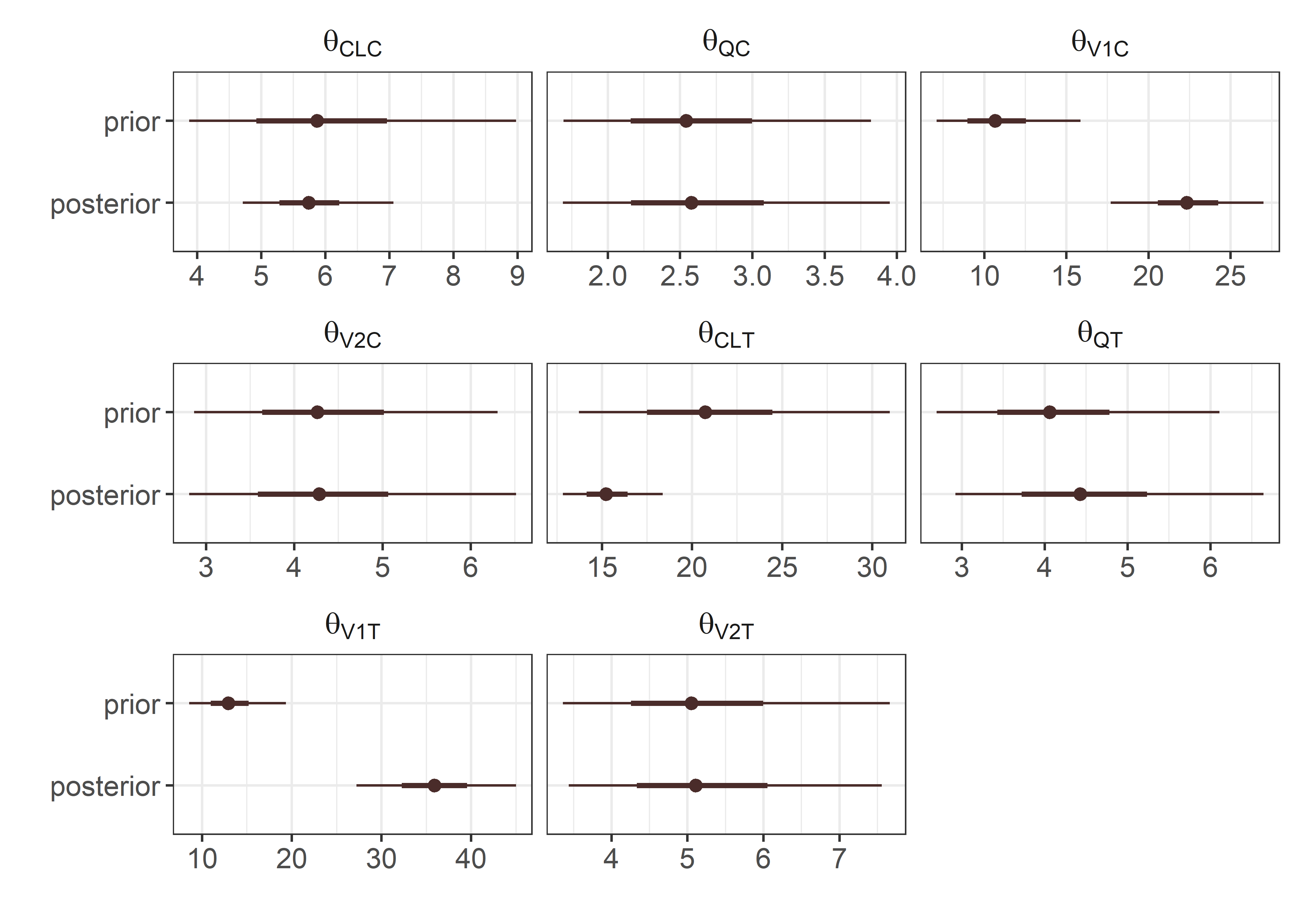
Prior vs posterior params

Code
modx  <- read_model(here::here(model_dir, "6"))
mod_to_plot1 <- read_fit_model(modx)
modx  <- read_model(here::here(model_dir, "5"))
mod_to_plot2 <- read_fit_model(modx)

pars = c("CLCHat", "QCHat", "V1CHat", "V2CHat", "CLTHat", "QTHat", "V1THat", "V2THat")
p1=bayesplot::mcmc_intervals(mod_to_plot1$draws(pars))
p2=bayesplot::mcmc_intervals(mod_to_plot2$draws(pars))

p1_data = p1@data %>% mutate(type = "prior")
p2_data = p2@data %>% mutate(type = "posterior")

 plot1 <- rbind(p1_data,p2_data)%>%
  ggplot(aes(y=type, x=m))+
  geom_point(size=2, color = "#4A2C2A")+
  geom_linerange(aes(xmin = l, xmax = h), size=1,color = "#4A2C2A")+
  geom_linerange(aes(xmin = ll, xmax = hh),color = "#4A2C2A")+
  labs(x="",y="")+
  theme(strip.background = element_blank()) +
  facet_wrap(~parameter, scales="free_x")

plot1

Code
res_both <- rbind(p1_data,p2_data) %>% 
  select(c("parameter", "ll", "m", "hh", "type")) %>% 
  group_by(parameter) %>% 
  arrange(parameter) %>% 
  mutate(across(where(is.numeric), round, 2)) %>% 
  ungroup()

res_both
# A tibble: 16 × 5
   parameter    ll     m    hh type     
   <fct>     <dbl> <dbl> <dbl> <chr>    
 1 CLCHat     3.88  5.87  8.98 prior    
 2 CLCHat     4.71  5.74  7.06 posterior
 3 QCHat      1.69  2.54  3.82 prior    
 4 QCHat      1.69  2.58  3.95 posterior
 5 V1CHat     7.1  10.7  15.9  prior    
 6 V1CHat    17.7  22.3  27    posterior
 7 V2CHat     2.86  4.26  6.3  prior    
 8 V2CHat     2.81  4.28  6.51 posterior
 9 CLTHat    13.7  20.7  31.0  prior    
10 CLTHat    12.8  15.2  18.4  posterior
11 QTHat      2.69  4.06  6.11 prior    
12 QTHat      2.92  4.43  6.64 posterior
13 V1THat     8.57 12.9  19.3  prior    
14 V1THat    27.2  35.9  45.0  posterior
15 V2THat     3.36  5.05  7.66 prior    
16 V2THat     3.44  5.11  7.56 posterior
Code
theta_labels <- c(
  CLCHat = "theta[CLC]",
  QCHat  = "theta[QC]",
  V1CHat = "theta[V1C]",
  V2CHat = "theta[V2C]",
  CLTHat = "theta[CLT]",
  QTHat  = "theta[QT]",
  V1THat = "theta[V1T]",
  V2THat = "theta[V2T]")

plot2 <- rbind(p1_data, p2_data) %>%
  mutate(parameter = theta_labels[parameter], parameter = factor(parameter, levels = c("theta[CLC]", "theta[QC]", "theta[V1C]", "theta[V2C]", "theta[CLT]", "theta[QT]", "theta[V1T]", "theta[V2T]"))) %>%
  ggplot(aes(y = type, x = m)) +
  geom_point(size = 2, color = "#4A2C2A") +
  geom_linerange(aes(xmin = l, xmax = h), size = 1, color = "#4A2C2A") +
  geom_linerange(aes(xmin = ll, xmax = hh), color = "#4A2C2A") +
  labs(x = "", y = "") +
  theme(strip.background = element_blank(),
        strip.text = element_text(size = 12, face = "bold"),
    axis.text = element_text(size = 11)) +
  facet_wrap(~parameter, scales = "free_x", labeller = label_parsed)

plot2

individual and population predictions

Code
# Posterior predictive checks

title_cef <- "CEFTOLOZANE"
title_taz <- "TAZOBACTAM"
yrepCond1 <- as_draws_matrix(mod5_res$draws(variables = c("cCond"))) #individual
yrepPred1 <- as_draws_matrix(mod5_res$draws(variables = c("cPred"))) #population

yobs <- xdata$DV 
yobs[yobs==0] = 1000
time <- xdata$TIME  
patientID <- xdata$ID   

#CEF 

color_scheme_set("orange")
# within patient predictions
ktore <- (xdata$CMT==1)
cef1 <- bayesplot::ppc_intervals_grouped(y = yobs[ktore], 
                                 yrep = yrepCond1[, ktore], 
                                 x = time[ktore], 
                                 patientID[ktore])+
  scale_y_log10(limits = c(0.01, 300)) +
  coord_cartesian(ylim=c(0.1,200)) +
  ggtitle(title_cef) +
  theme(strip.background = element_blank()) +
  ggplot2::labs(x = "TIME, h", 
                y = "Individual Predicted Concentration, ug/mL") + 
  theme(legend.position = c(.85, 0.1), 
        legend.title = element_blank(),
        legend.background = element_rect(fill = "grey95", color = "grey95", size = 0.5)) 
cef1

Code
# predictions for new patient

ktore <- (xdata$CMT==1)
cef2 <- bayesplot::ppc_intervals_grouped(y = yobs[ktore], 
                                 yrep = yrepPred1[, ktore], 
                                 x = time[ktore], 
                                 patientID[ktore])+
  scale_y_log10(limits = c(0.01, 300)) +
  coord_cartesian(ylim=c(0.1,200)) +
  ggtitle(title_cef) +
  theme(strip.background = element_blank()) +
  ggplot2::labs(x = "TIME, h", 
                y = "Population Predicted Concentration, ug/mL") + 
  theme(legend.position = c(.85, 0.1), 
        legend.title = element_blank(),
        legend.background = element_rect(fill = "grey95", color = "grey95", size = 0.5))
cef2 

Code
#TAZ

color_scheme_set("blue")

# within patient predictions
ktore <- (xdata$CMT==3)
taz1 <- bayesplot::ppc_intervals_grouped(y = yobs[ktore], 
                                 yrep = yrepCond1[, ktore], 
                                 x = time[ktore], 
                                 patientID[ktore])+
  scale_y_log10(limits = c(0.01, 300)) +
  coord_cartesian(ylim=c(0.1,200)) +
  ggtitle(title_taz) +
  theme(strip.background = element_blank()) +
  ggplot2::labs(x = "TIME, h", 
                y = "Individual Predicted concentration, ug/mL") + 
  theme(legend.position = c(.85, 0.1), 
        legend.title = element_blank(),
        legend.background = element_rect(fill = "grey95", color = "grey95", size = 0.5))
taz1

Code
# predictions for new patient

ktore <- (xdata$CMT==1)
taz2 <- bayesplot::ppc_intervals_grouped(y = yobs[ktore], 
                                 yrep = yrepPred1[, ktore], 
                                 x = time[ktore], 
                                 patientID[ktore])+
  scale_y_log10(limits = c(0.01, 300)) +
  coord_cartesian(ylim=c(0.1,200)) +
  ggtitle(title_taz) +
  theme(strip.background = element_blank()) +
  ggplot2::labs(x = "TIME, h", 
                y = "Population Predicted concentration, ug/mL") + 
  theme(legend.position = c(.85, 0.1), 
        legend.title = element_blank(),
        legend.background = element_rect(fill = "grey95", color = "grey95", size = 0.5))
taz2 

Code
## Combine both types of predictions
predInd <- posterior::as_draws_df(mod5_res$draws("cCond")) %>%
  pivot_longer(cols = starts_with("cCond"),
               names_transform = list(name = forcats::fct_inorder)) %>%
  group_by(name) %>%
  summarize(lbInd = quantile(value, probs = 0.05, na.rm = TRUE),
            medianInd = quantile(value, probs = 0.5, na.rm = TRUE),
            ubInd = quantile(value, probs = 0.95, na.rm = TRUE))

predPop <- posterior::as_draws_df(mod5_res$draws("cPred")) %>%
  pivot_longer(cols = starts_with("cPred"),
               names_transform = list(name = forcats::fct_inorder)) %>%
  group_by(name) %>%
  summarize(lbPop = quantile(value, probs = 0.05, na.rm = TRUE),
            medianPop = quantile(value, probs = 0.5, na.rm = TRUE),
            ubPop = quantile(value, probs = 0.95, na.rm = TRUE))

predAll <- bind_cols(xdata, predInd, predPop) %>%
  mutate(DV = if_else(EVID==0,DV, NA))

#CEF

ppc <- ggplot(predAll %>% filter(CMT == 1), 
                   aes(x = TIME, y = DV)) +
  geom_line(aes(x = TIME, y = medianPop, 
                color = "population") ) +
  geom_ribbon(aes(ymin = lbPop, ymax = ubPop, 
                  fill = "population"), 
              alpha = 0.25) +
  geom_line(aes(x = TIME, y = medianInd, 
                color = "individual") ) +
  geom_ribbon(aes(ymin = lbInd, ymax = ubInd, 
                  fill = "individual"), 
              alpha = 0.25) +
  scale_color_manual(name  ="prediction:",
                     breaks=c("individual", "population"),
                     values = c("#7A2525", "#1F3A6B")) +
  scale_fill_manual(name  ="prediction:",
                    breaks=c("individual", "population"),
                    values = c("#7A2525", "#1F3A6B")) +
  geom_point(na.rm = TRUE, size = 0.5) +
  scale_y_log10(limits=c(0.1,200)) +
  labs(x = "Time, h",
       y = "Ceftolozane plasma drug concentration, ug/mL") +
  theme(text = element_text(size = 12),
        axis.text = element_text(size = 12),
        legend.position = "bottom",
        strip.background = element_blank(),
        strip.text = element_text(size = 8)) +
  facet_wrap(~ ID)

#TAZ

ppt <- ggplot(predAll %>% filter(CMT == 3), 
               aes(x = TIME, y = DV)) +
  geom_line(aes(x = TIME, y = medianPop, 
                color = "population") ) +
  geom_ribbon(aes(ymin = lbPop, ymax = ubPop, 
                  fill = "population"), 
              alpha = 0.25) +
  geom_line(aes(x = TIME, y = medianInd, 
                color = "individual") ) +
  geom_ribbon(aes(ymin = lbInd, ymax = ubInd, 
                  fill = "individual"), 
              alpha = 0.25) +
  scale_color_manual(name  ="prediction:",
                     breaks=c("individual", "population"),
                     values = c("#7A2525", "#1F3A6B")) +
  scale_fill_manual(name  ="prediction:",
                    breaks=c("individual", "population"),
                    values = c("#7A2525", "#1F3A6B")) +
  geom_point(na.rm = TRUE, size = 0.5) +
  scale_y_log10(limits=c(0.1,50)) +
  labs(x = "Time, h",
       y = "Tazobactam plasma drug concentration, ug/mL") +
  theme(text = element_text(size = 12),
        axis.text = element_text(size = 12),
        legend.position = "bottom",
        strip.background = element_blank(),
        strip.text = element_text(size = 8)) +
  facet_wrap(~ ID)

ppc

Code
ppt

VPC

Code
nPost <- mod5_res$metadata()$iter_sampling / mod5_res$metadata()$thin
n_chains <- 4
predPop <- posterior::as_draws_df(mod5_res$draws("cPred")) %>%
  pivot_longer(cols = starts_with("cPred"),
               names_transform = list(name = forcats::fct_inorder)) %>%
  mutate(ID = rep(xdata$ID, n_chains * nPost),
         TIME = rep(xdata$TIME, n_chains * nPost),
         CMT = rep(xdata$CMT, n_chains * nPost),
         EVID = rep(xdata$EVID, n_chains * nPost),
         DV = rep(xdata$DV, n_chains * nPost))

CMT_labs <- c("1" = "CEFTOLOZANE", "3" = "TAZOBACTAM")

vpcPlotraw <- vpc(sim = predPop %>% filter(!is.na(DV)) %>% filter(EVID==0),
               obs = xdata %>% filter(!is.na(DV)) %>% filter(EVID==0),
               obs_cols = list(id = "ID", dv = "DV", idv = "TIME"),
               sim_cols = list(is = "ID", dv = "value", idv = "TIME"),
               ci = c(0.1, 0.9), pi = c(0.1, 0.9),
               stratify = "CMT",
               labeller = labeller(CMT = CMT_labs),
               show = list(obs_dv = FALSE, obs_ci = TRUE, 
                           pi = FALSE, pi_as_area = FALSE, pi_ci = TRUE, 
                           obs_median = TRUE, sim_median = FALSE, sim_median_ci = TRUE),
               vpc_theme = new_vpc_theme(update = list(
                 sim_pi_fill = "#1A2B1A",
                 sim_pi_alpha = 0.25,
                 obs_ci_size = 1,
                 obs_ci_color = "#1A2B1A",
                 obs_median_color = "#1A2B1A",
                 obs_ci_linetype = "dashed",
                 sim_median_fill = "#1A2B1A",
                 sim_median_alpha = 0.5)))+theme_bw()

vpcPlot <- vpcPlotraw +
  geom_point(data = xdata %>% filter(!is.na(DV)) %>% filter(EVID==0) , aes(x = TIME, y = DV), alpha = 0.1) +
  scale_y_log10() +
  labs(x = "Time, h",
       y = "Plasma Drug Concentration, ug/mL") +
  theme(text = element_text(size = 12), strip.background = element_blank(),
        axis.text = element_text(size = 12)) 

vpcPlot

Code
nPost <- mod5_res$metadata()$iter_sampling / mod5_res$metadata()$thin
n_chains <- 4

predPop <- posterior::as_draws_df(mod5_res$draws("cPred")) %>%
  pivot_longer(cols = starts_with("cPred"),
               names_transform = list(name = forcats::fct_inorder)) %>%
  mutate(ID = rep(xdata$ID, n_chains * nPost),
         TIME = rep(xdata$TIME, n_chains * nPost),
         CMT = rep(xdata$CMT, n_chains * nPost),
         EVID = rep(xdata$EVID, n_chains * nPost),
         DV = rep(xdata$DV, n_chains * nPost))

CMT_labs <- c("1" = "CEFTOLOZANE", "3" = "TAZOBACTAM")

obs_filtered <- xdata %>% filter(!is.na(DV) & EVID == 0)
sim_filtered <- predPop %>% filter(!is.na(DV) & EVID == 0)

custom_vpc_theme <- new_vpc_theme(update = list(
  sim_pi_fill = "#1A2B1A",
  sim_pi_alpha = 0.25,
  obs_ci_size = 1,
  obs_ci_color = "#1A2B1A",
  obs_median_color = "#1A2B1A",
  obs_ci_linetype = "dashed",
  sim_median_fill = "#1A2B1A",
  sim_median_alpha = 0.5
))

vpcPlotraw <- vpc(
  sim = sim_filtered,
  obs = obs_filtered,
  obs_cols = list(id = "ID", dv = "DV", idv = "TIME"),
  sim_cols = list(id = "ID", dv = "value", idv = "TIME"),
  ci = c(0.1, 0.9), pi = c(0.1, 0.9),
  stratify = "CMT",
  labeller = labeller(CMT = CMT_labs),
  show = list(
    obs_dv = FALSE, obs_ci = TRUE,
    pi = FALSE, pi_as_area = FALSE, pi_ci = TRUE,
    obs_median = TRUE, sim_median = FALSE, sim_median_ci = TRUE
  ),
  vpc_theme = custom_vpc_theme
) + theme_bw()

vpcPlot <- vpcPlotraw +
  geom_point(data = obs_filtered, aes(x = TIME, y = DV), alpha = 0.1) +
  scale_y_log10() +
  labs(x = "Time, h", y = "Plasma Drug Concentration, ug/mL") +
  theme(
    text                = element_text(size = 12),
    axis.text           = element_text(size = 12),
    strip.background    = element_blank(),
    legend.position     = "bottom",
    legend.direction    = "vertical",
    legend.title        = element_text(size = 10),
    legend.text         = element_text(size = 9),          
    legend.key.height   = unit(0.9, "lines"),           
    legend.margin       = margin(2, 0, 0, 0)
  ) +
  geom_point(aes(x = Inf, y = Inf, color = "Observed Concentrations"), alpha = 0.1) +
  geom_line(aes(x = Inf, y = Inf, color = "Observed Median")) +
  geom_line(aes(x = Inf, y = Inf, color = "Observed 80% CI"), linetype = "dashed") +
  geom_ribbon(aes(x = Inf, ymin = Inf, ymax = Inf, fill = "Simulated Median 80% CI"), alpha = 0.5) +
  geom_ribbon(aes(x = Inf, ymin = Inf, ymax = Inf, fill = "Simulation 80% PI"), alpha = 0.25) +
  scale_color_manual(
    name = "DOTS & LINES",
    values = c(
      "Observed Concentrations"             = "black",
      "Observed Median"                     = "#1A2B1A",
      "Observed 80% CI"                     = "#1A2B1A"
    ),
  breaks = c("Observed Concentrations", "Observed Median", "Observed 80% CI")
  ) +
  scale_fill_manual(
    name = "AREAS",
    values = c(
      "Simulated Median 80% CI"     = "#1A2B1A",
      "Simulation 80% PI"           = "#1A2B1A"
    )
  ) +
  guides(
    color = guide_legend(ncol = 1, title.position = "top"),
    fill  = guide_legend(ncol = 1, title.position = "top")
  )

vpcPlot

Code
color_scheme_set("brightblue")

yrepCond1 <- as_draws_matrix(mod5_res$draws(variables = c("cCond"))) #individual
yrepPred1 <- as_draws_matrix(mod5_res$draws(variables = c("cPred"))) #population

yobs <- xdata$DV 

ktore <- (xdata$CMT==1 & xdata$EVID==0)
cefind <- bayesplot::ppc_dens_overlay(y = yobs[ktore], yrep = yrepCond1[1:50, ktore], adjust = 6) + xlim(0, 260) + labs(title = "CEFTOLOZANE", subtitle = "Individual Predictions") 
cefpop <- bayesplot::ppc_dens_overlay(y = yobs[ktore], yrep = yrepPred1[1:50, ktore], adjust = 6) + xlim(0, 260) + legend_move("bottom") + labs(subtitle = "Population Predictions")

ktore <- (xdata$CMT==3 & xdata$EVID==0)
tazind <- bayesplot::ppc_dens_overlay(y = yobs[ktore], yrep = yrepCond1[1:50, ktore], adjust = 6) + xlim(0, 70) + legend_move("bottom") + labs(title = "TAZOBACTAM", subtitle = "Individual Predictions")
tazpop <- bayesplot::ppc_dens_overlay(y = yobs[ktore], yrep = yrepPred1[1:50, ktore], adjust = 6) + xlim(0, 70) + legend_move("bottom") + labs(subtitle = "Population Predictions")

cefall <- cefind + cefpop + plot_layout(guides = "collect") & theme(legend.position = "bottom")
cefall

Code
tazall <- tazind + tazpop + plot_layout(guides = "collect") & theme(legend.position = "bottom")
tazall

GOF

Code
color_scheme_set("teal")

 yobs <- xdata$DV

 ktore <- xdata$CMT==1 & xdata$EVID==0
 
 p1 <- bayesplot::ppc_intervals(y = 1000+yobs[ktore], yrep = yrepCond1[,ktore], x = yobs[ktore]) + 
   xlab("Observed (ug/mL)") +
   ylab("Individual predictions (ug/mL)") +
   ggtitle("CEFTOLOZANE") +
   scale_y_log10(limits = c(0.1, 200)) + 
   scale_x_log10(limits = c(0.1, 200)) +
   theme(legend.position = "none",text = element_text(size = 10),axis.title.x = element_blank(),axis.text = element_text(size = 8)) +
   geom_abline(intercept = 0, slope = 1, color="grey", linetype="dotted")
 
 p2 <-bayesplot::ppc_intervals(y = 1000+yobs[ktore], yrep = yrepPred1[,ktore], x = yobs[ktore]) +
  xlab("Observed (ug/mL)") + 
   ylab("Population predictions (ug/mL)") +
   scale_y_log10(limits = c(0.1, 200)) +
   scale_x_log10(limits = c(0.1, 200)) +
  theme(legend.position = "none",text = element_text(size = 10),axis.text = element_text(size = 8)) +
  geom_abline(intercept = 0, slope = 1, color="grey", linetype="dotted")
 
ktore <- xdata$CMT==3 & xdata$EVID==0
 p3 <- bayesplot::ppc_intervals(y = 1000+yobs[ktore], yrep = yrepCond1[,ktore], x = yobs[ktore]) + 
   xlab("Observed (ug/mL)") +
   ylab("Individual predictions (ug/mL)") +
   ggtitle("TAZOBACTAM") +
   scale_y_log10(limits = c(0.1, 200)) + 
   scale_x_log10(limits = c(0.1, 200)) +
   theme(legend.position = "none",text = element_text(size = 10), axis.title.x = element_blank(), axis.title.y = element_blank(), axis.text = element_text(size = 8)) +
   geom_abline(intercept = 0, slope = 1, color="grey", linetype="dotted")
 
 p4 <-bayesplot::ppc_intervals(y = 1000+yobs[ktore], yrep = yrepPred1[,ktore], x = yobs[ktore]) +
  xlab("Observed (ug/mL)") + 
   ylab("Population predictions (ug/mL)") +
   scale_y_log10(limits = c(0.1, 200)) +
   scale_x_log10(limits = c(0.1, 200)) +
  theme(legend.position = "none",text = element_text(size = 10), axis.title.y = element_blank(), axis.text = element_text(size = 8)) +
  geom_abline(intercept = 0, slope = 1, color="grey", linetype="dotted")
 
 plotAll <- (p1+p3)/(p2+p4)

 plotAll

PTA

Code
#copy_model_as_stan_gq(mod5)

mod5gq  <- read_model(file.path(model_dir, "5_gq"))

#open_standata_file(mod5)
#check_stan_model(mod5)
#mod5gq_res <- mod5gq %>% submit_model(.overwrite = FALSE) 

mod5gq_res  <- read_model(file.path(model_dir, "5_gq")) %>%
  read_fit_model()
Code
pars <- c("thetaPredC", "thetaPredT")

set.seed(123456)
ptab1 <- posterior::as_draws_df(mod5gq_res$draws(c("thetaPredC"))) %>%
  slice_sample(n = 1)%>%
  tidybayes::spread_draws(thetaPredC[j, ID]) %>% 
  pivot_wider(names_from = j, values_from = thetaPredC, names_prefix = "X") 

set.seed(123456)
ptab2 <- posterior::as_draws_df(mod5gq_res$draws(c("thetaPredT"))) %>%
  slice_sample(n = 1)%>%
  tidybayes::spread_draws(thetaPredT[j, ID])%>% 
  mutate(j=j+5) %>%
  pivot_wider(names_from = j, values_from = thetaPredT, names_prefix = "X") %>%
  select(ID, X6:X10)

ptab = cbind(ptab1, ptab2) %>%
  rename(ID = ID...1) %>%
  select(ID, X1:X10)

nsubj <- nrow(ptab)

# model name and location

mod_no <- "5"
dir_mod <- here("model/simod/basic")
pk_mod <- mrgsolve::mread(file.path(dir_mod, mod_no))
dt = 0.1

presim_data_1 <- data.frame(
  ID = 1:nsubj,
  TIME = 0,
  EVID = 1,
  CMT = 1,
  ADDL = 21,
  AMT = 2,
  II = 8) %>%
  left_join(ptab) 

presim_data_2<-presim_data_1 %>%
  mutate(AMT=1, CMT=3)

presim_data = rbind(presim_data_1,presim_data_2)%>%
  arrange(ID, TIME, CMT)

pk_sim_1 <- mrgsim_df(pk_mod,
                    data = presim_data,
                    add = c(seq(0,8,dt)+48),
                    tad = T,
                    recover = "ID")%>%
  select(ID, TIME, TAD=tad, CEF, TAZ) %>%
  mutate(Dose = "2 mg q8h") %>%
  filter(TIME>=48 & TIME<48+8) %>%
  tidyr::expand_grid(MIC = exp(seq(log(1/4), log(64), h = 64))) %>%
  group_by(MIC,ID) %>%
  summarise(TARGET = as.numeric((length(which(0.8*CEF*1000>=MIC)) * dt)>=0.3*8)) %>%
  group_by(MIC) %>%
  summarise(PTA = mean(TARGET))
Code
# model name and location
set.seed(123456)
mod_no <- "5"
dir_mod <- here("model/simod/basic")
pk_mod <- mrgsolve::mread(file.path(dir_mod, mod_no))

df_draws <- posterior::as_draws_df(mod5gq_res$draws(c("thetaPredC","thetaPredT")))

sim_fun <- function(i, mod = pk_mod, df = df_draws, .tinf, .dosecef, .dosetaz, .ii = 8) {

  set.seed(123456)
  
ptab1 <- df_draws %>%
  filter(.draw == i)%>%
  tidybayes::spread_draws(thetaPredC[j, ID]) %>% 
  pivot_wider(names_from = j, values_from = thetaPredC, names_prefix = "X") 

ptab2 <- df_draws %>%
  filter(.draw == i)%>%
  tidybayes::spread_draws(thetaPredT[j,ID])%>% 
  mutate(j=j+5) %>%
  pivot_wider(names_from = j, values_from = thetaPredT, names_prefix = "X") %>%
  select(ID, X6:X10)

ptab <- cbind(ptab1, ptab2) %>%
  rename(ID = ID...1) %>%
  select(ID, X1:X10)

nsubj <- nrow(ptab)
dt = 0.1

presim_data_1 <- data.frame(
  ID = 1:nsubj,
  TIME = 0,
  EVID = 1,
  CMT = 1,
  ADDL = 21,
  AMT = .dosecef,
  RATE = (.dosecef/.tinf),
  II = .ii) %>%
  left_join(ptab) 

presim_data_2 <- presim_data_1 %>%
  mutate(AMT = .dosetaz, 
         CMT = 3, 
         RATE = (.dosetaz/.tinf))

presim_data <- rbind(presim_data_1, presim_data_2)%>%
  arrange(ID, TIME, CMT)

pk_sim_1 <- mrgsim_df(pk_mod,
                    data = presim_data,
                    add = c(seq(0, 8, dt) + 48),
                    tad = T,
                    recover = "ID")%>%
  select(ID, TIME, TAD = tad, CEF, TAZ) %>%
  filter(TIME >= 48 & TIME < 48 + 8) %>%
  tidyr::expand_grid(MIC = exp(seq(log(1/4), log(64), length.out = 64))) %>%
  group_by(MIC, ID) %>%
  summarise(TARGET1 = (length(which(0.8 * CEF * 1000 >= MIC)) * dt) >= 0.3 * 8, ### CEF
            TARGET2 = (length(which(0.7 * TAZ * 1000 >= 1)) * dt) >= 0.2 * 8) %>% ###TAZ 
  group_by(MIC) %>%
  summarise(PTA = mean(as.numeric(TARGET1 & TARGET2)),
            PTAC = mean(as.numeric(TARGET1)),
            PTAT = mean(as.numeric(TARGET2))) %>%
  mutate(irep = i)
}

PTA plots

PTA of both drugs

Code
set.seed(123456)
plan(multisession, workers = 12)

out1 <- future_map(1:250, sim_fun, mod = pk_mod, df = df_draws, .tinf = 3, .dosecef = 2, .dosetaz = 1) %>%
  bind_rows()

pta_data1 <- function(data) {
  data %>%
  group_by(MIC) %>%
  summarise(my = median(PTA),
            hy = quantile(PTA, probs = 0.95),
            ly = quantile(PTA, probs = 0.05), 
            myc = median(PTAC),
            hyc = quantile(PTAC, probs = 0.95),
            lyc = quantile(PTAC, probs = 0.05), 
            myt = median(PTAT),
            hyt = quantile(PTAT, probs = 0.95),
            lyt = quantile(PTAT, probs = 0.05))
}

plot_pta1 <- function(sumdata) {
  ggplot(sumdata, aes(x = MIC)) +
  geom_line(aes(y = my, color = "PTA")) +
  geom_ribbon(aes(ymin = ly, ymax = hy, fill = "PTA"), alpha = 0.25) +
  geom_line(aes(y = myc, color = "PTA-CEF")) +
  geom_ribbon(aes(ymin = lyc, ymax = hyc, fill = "PTA-CEF"), alpha = 0.25) +
  geom_line(aes(y = myt, color = "PTA-TAZ")) +
  geom_ribbon(aes(ymin = lyt, ymax = hyt, fill = "PTA-TAZ"), alpha = 0.25) +
  geom_hline(yintercept = 0.9, color = 'grey30', linetype = "dashed") +
  labs(title = "Probability of target attainment", 
       subtitle = "CEFTOLOZANE: %fT MIC of 30%\nTAZOBACTAM: %fT CT of 20% for a CT of 1 ug/ml", 
       x = "MIC", y = "PTA")  +
  scale_x_continuous(transform = "log2",breaks = c(1/4, 1/2, 1, 2, 4, 8, 16, 32, 64), labels = c(1/4, 1/2, 1, 2, 4, 8, 16, 32, 64)) +
  scale_y_continuous(breaks = seq(0, 1, 0.2)) +
  scale_color_manual(values = c("PTA" = "#5A8099", "PTA-CEF" = "#3C4F2F", "PTA-TAZ" = "#7A3C4A")) +
  scale_fill_manual(values = c("PTA" = "#5A8099", "PTA-CEF" = "#3C4F2F", "PTA-TAZ" = "#7A3C4A")) +
  labs(color = NULL, fill = NULL) +  
  theme(legend.position = "bottom", plot.subtitle = element_text(size = 10, color = "gray20"))
}

pta_all1 <- pta_data1(out1)
plot_pta1(pta_all1)

Code
pta_filtered1 <- pta_data1(out1 %>% filter(MIC > 4))
plot_pta1(pta_filtered1)

PTA in different time of infusion

Code
set.seed(123456)
plan(multisession, workers = 12)

out2 <- future_map(1:250, sim_fun, mod = pk_mod, df = df_draws, .tinf = 1, .dosecef = 2, .dosetaz = 1) %>%
  bind_rows()

out10 <- out1 %>% mutate(type = "3h, dose = 3g")
out20 <- out2 %>% mutate(type = "1h, dose = 3g")

out <- rbind(out10, out20)

pta_data2 <- function(data) {
  data %>%  
  group_by(MIC, type)%>%
  summarise(my = median(PTA),
            hy = quantile(PTA, probs = 0.95),
            ly = quantile(PTA, probs = 0.05))
  }

plot_pta2 <- function(sumdata) {
  ggplot(sumdata) +
  geom_line(aes(x = MIC, y = my, color = type)) +
  geom_ribbon(aes(x = MIC, ymin = ly, ymax = hy, color = type, fill = type), alpha = 0.2) +
  geom_hline(yintercept = 0.9, color = 'grey30', linetype = "dashed") +
  labs(title = "Probability of target attainment - time infusion", 
       subtitle = "CEFTOLOZANE: %fT MIC of 30%\nTAZOBACTAM: %fT CT of 20% for a CT of 1 ug/ml", 
       x = "MIC", y = "PTA")  +
  scale_color_manual(values = c("3h, dose = 3g" = "#007F7F", "1h, dose = 3g" = "#D95F02")) +
  scale_fill_manual(values = c("3h, dose = 3g" = "#007F7F", "1h, dose = 3g" = "#D95F02")) +
  scale_x_continuous(transform = "log2",breaks = c(1/4, 1/2, 1, 2, 4, 8, 16, 32, 64), labels = c(1/4, 1/2, 1, 2, 4, 8, 16, 32, 64)) +
  scale_y_continuous(breaks = seq(0, 1, 0.2)) +
  theme(legend.position = "bottom", legend.title = element_blank(), plot.subtitle = element_text(size = 10, color = "gray20")) 
  }

pta_all2 <- pta_data2(out)
plot_pta2(pta_all2)

Code
pta_filtered2 <- pta_data2(out %>% filter(MIC > 4))
plot_pta2(pta_filtered2)

PTA by dose and time of infusion

Code
set.seed(123456)
plan(multisession, workers = 12)

out3 <- future_map(1:250, sim_fun, mod = pk_mod, df = df_draws, .tinf = 3, .dosecef = 1, .dosetaz = 0.5) %>%
  bind_rows()
out4 <- future_map(1:250, sim_fun, mod = pk_mod, df = df_draws, .tinf = 1, .dosecef = 1, .dosetaz = 0.5) %>%
  bind_rows()

out10 <- out1 %>% mutate(dose = "3g q8h tinf=3h")
out20 <- out2 %>% mutate(dose = "3g q8h tinf=1h")
out30 <- out3 %>% mutate(dose = "1.5g q8h, tinf=3h")
out40 <- out4 %>% mutate(dose = "1.5g q8h, tinf=1h")
out <-  rbind(out10, out20, out30, out40)

pta_data3 <- function(data) {
  data %>%  
  group_by(MIC, dose)%>%
  summarise(my = median(PTA),
            hy = quantile(PTA, probs = 0.95),
            ly = quantile(PTA, probs = 0.05))
}

plot_pta3 <- function(sumdata) {
  ggplot(sumdata) +
  geom_line(aes(x = MIC, y = my, color = dose)) +
  geom_ribbon(aes(x = MIC, ymin = ly, ymax = hy, color = dose, fill = dose), alpha = 0.2) +
  geom_hline(yintercept = 0.9, color = 'grey30', linetype = "dashed") +
  labs(title = "Probability of target attainment - dose", 
       subtitle = "CEFTOLOZANE: %fT MIC of 30%\nTAZOBACTAM: %fT CT of 20% for a CT of 1 ug/ml", 
       x = "MIC", y = "PTA")  +
  scale_color_manual(values = c("3g q8h tinf=3h" = "#004545","3g q8h tinf=1h" = "#007F7F", "1.5g q8h, tinf=3h" = "#B24D02", "1.5g q8h, tinf=1h" = "#C99A47")) +
  scale_fill_manual(values = c("3g q8h tinf=3h" = "#004545","3g q8h tinf=1h" = "#007F7F", "1.5g q8h, tinf=3h" = "#B24D02", "1.5g q8h, tinf=1h" = "#C99A47")) +
  scale_x_continuous(transform = "log2",breaks = c(1/4, 1/2, 1, 2, 4, 8, 16, 32, 64), labels = c(1/4, 1/2, 1, 2, 4, 8, 16, 32, 64)) +
  scale_y_continuous(breaks = seq(0, 1, 0.2)) +
  theme(legend.position = "bottom", legend.title = element_blank(), plot.subtitle = element_text(size = 10, color = "gray20")) 
  }

pta_all3 <- pta_data3(out)
plot_pta3(pta_all3)

Code
pta_filtered3 <- pta_data3(out %>% filter(MIC > 4))
plot_pta3(pta_filtered3)

1CMT

Code
runno = "100"
nrep = 500 # number of parameter sets 

nm_dir = here::here("model/nonmem/basic")
nm_mod <- bbr::read_model(file.path(nm_dir, runno))

#' Load the mrgsolve model
model_dir <- "model/simod/basic"
mod <- mread(here::here(model_dir, runno))

Generate parameter sets

Code
set.seed(123456)
#' Generate 500 parameter sets by sampling from variance-covariance matrix for fixed and random effect parameter estimates of the final ppk model

set_parset_pk <- function(modelName = runno, nsim=nsim){
  .est <- mrgsolve::read_nmext(modelName, project = nm_dir) #retrieves NONMEM estimates for use in the mrgsolve model when $NMEXT or $NMXML is invoked
  .cov <- read.table(file=file.path(nm_dir, modelName, paste0(modelName, ".cov")),
                     skip=1, header=T) # retrieve the full variance-covariance error matrix for THETA, OMEGA and SIGMA
  .cov$NAME <- NULL
  take <- grep ("THETA", names(.cov))
  .cov <- .cov[take, take] # keeps only the THETAs
  theta <- .est$param #Get the point estimates of THETAs
 # omega <- .est$raw[grepl("OMEGA", names(.est$raw))]
  omega <- as_bmat(.est,"OMEGA") #Get the estimates of OMEGA matrix
 # sigma <- .est$raw[grepl("SIGMA", names(.est$raw))]
  sigma <- as_bmat(.est, "SIGMA") #Get the estimates of SIGMA matrix
  # get the number of observations and number of subjects
  summ = nm_mod %>% model_summary()
  nObsUsed <- as.numeric(summ$run_details$number_of_obs)
  nSubsUsed <- as.numeric(summ$run_details$number_of_subjects)
  set.seed(123456)
  # Create Parameters for Simulation with Uncertainty
  pkparset <- simpar(nsim=nsim, 
                 digits=5, 
                 theta=unlist(theta), 
                 cov=.cov, 
                 omega=omega,
                 sigma=sigma, 
                 odf=nSubsUsed,
                 sdf=floor((nSubsUsed + nObsUsed)/2)) %>% as.data.frame()
  return (pkparset)
}
set.seed(123456)

pkparset <- set_parset_pk(modelName = runno, nsim=500) %>% mutate(rep=1:n()) 
post <- pkparset %>%
  rename_with(~ gsub("TH\\.", "THETA", .x), starts_with("TH.")) %>%
  rename_with(~ gsub("OM", "OMEGA", .x), starts_with("OM")) %>%
  rename_with(~ gsub("SG", "SIGMA", .x), starts_with("SG")) %>% 
  rename_with(~ gsub("\\.", "", .x), starts_with("OM")) %>%
  rename_with(~ gsub("\\.", "", .x), starts_with("SI")) %>% 
  mutate(iter = row_number())
Code
sim_fun_1cmt <- function(i, mod = mod, df = post, .tinf, .dosecef, .dosetaz, .ii = 8) {

ptab <- df[i,]

Omega = as_bmat(list(OMEGA1.1=ptab$OMEGA11,
     OMEGA2.1=ptab$OMEGA21,
     OMEGA2.2=ptab$OMEGA22,
     OMEGA3.1=ptab$OMEGA31, 
     OMEGA3.2=ptab$OMEGA32, 
     OMEGA3.3=ptab$OMEGA33), "OMEGA")

nsubj <- 250
dt = 0.1

presim_data_1 <- data.frame(
  ID = 1:nsubj,
  TIME = 0,
  EVID = 1,
  CMT = 1,
  ADDL = 21,
  AMT = .dosecef,
  RATE = (.dosecef/.tinf),
  II = .ii) 

presim_data_2 <- presim_data_1 %>%
  mutate(AMT = .dosetaz, 
         CMT = 3, 
         RATE = (.dosetaz/.tinf))

presim_data <- rbind(presim_data_1, presim_data_2)%>%
  arrange(ID, TIME, CMT)

mod = mod %>% omat(Omega) %>% update(param = list(THETA1 = ptab$THETA1,
                                     THETA2 = ptab$THETA2,
                                     THETA3 = ptab$THETA3,
                                     THETA4 = ptab$THETA4,
                                     THETA5 = ptab$THETA5))

pk_sim_1 <- mrgsim_df(mod,
                    data = presim_data,
                    add = c(seq(0, 8, dt) + 48),
                    tad = T,
                    recover = "ID")%>%
  select(ID, TIME, TAD = tad, CEF, TAZ) %>%
  filter(TIME >= 48 & TIME < 48 + 8) %>%
  tidyr::expand_grid(MIC = exp(seq(log(1/4), log(64), length.out = 64))) %>%
  group_by(MIC, ID) %>%
  summarise(TARGET1 = (length(which(0.8 * CEF * 1000 >= MIC)) * dt) >= 0.3 * 8, ### CEF
            TARGET2 = (length(which(0.7 * TAZ * 1000 >= 1)) * dt) >= 0.2 * 8) %>% ###TAZ 
  group_by(MIC) %>%
  summarise(PTA = mean(as.numeric(TARGET1 & TARGET2)),
            PTAC = mean(as.numeric(TARGET1)),
            PTAT = mean(as.numeric(TARGET2))) %>%
  mutate(irep = i)
}

PTA plots

PTA of 3g drugs by type of analysis

Code
set.seed(123456)
plan(multisession, workers = 12)

out1cmt1 <- future_map(1:250, sim_fun_1cmt, mod = mod, df = post, .tinf = 3, .dosecef = 2, .dosetaz = 1) %>%
  bind_rows()
out2cmt1 <- future_map(1:250, sim_fun_1cmt, mod = mod, df = post, .tinf = 1, .dosecef = 2, .dosetaz = 1) %>%
  bind_rows()

out10 <- out1 %>% mutate(dose = "3g q8h tinf=3h BAYES")
out20 <- out2 %>% mutate(dose = "3g q8h tinf=1h BAYES")
out30 <- out1cmt1 %>% mutate(dose = "3g q8h tinf=3h 1CMT")
out40 <- out2cmt1 %>% mutate(dose = "3g q8h tinf=1h 1CMT")
out <-  rbind(out10, out20, out30, out40)

pta_data4 <- function(data) {
  data %>%  
  group_by(MIC, dose)%>%
  summarise(my = median(PTA),
            hy = quantile(PTA, probs = 0.95),
            ly = quantile(PTA, probs = 0.05))
}

plot_pta4 <- function(sumdata) {
  ggplot(sumdata) +
  geom_line(aes(x = MIC, y = my, color = dose)) +
  geom_ribbon(aes(x = MIC, ymin = ly, ymax = hy, color = dose, fill = dose), alpha = 0.2) +
  geom_hline(yintercept = 0.9, color = 'grey30', linetype = "dashed") +
  labs(title = "Probability of target attainment - dose", 
       subtitle = "CEFTOLOZANE: %fT MIC of 30%\nTAZOBACTAM: %fT CT of 20% for a CT of 1 ug/ml", 
       x = "MIC", y = "PTA")  +
  scale_color_manual(values = c("3g q8h tinf=3h BAYES" = "#004545","3g q8h tinf=1h BAYES" = "#007F7F", "3g q8h tinf=3h 1CMT" = "#3A2E4D", "3g q8h tinf=1h 1CMT" = "#675A82")) +
  scale_fill_manual(values = c("3g q8h tinf=3h BAYES" = "#004545","3g q8h tinf=1h BAYES" = "#007F7F", "3g q8h tinf=3h 1CMT" = "#3A2E4D", "3g q8h tinf=1h 1CMT" = "#675A82")) +
  scale_x_continuous(transform = "log2",breaks = c(1/4, 1/2, 1, 2, 4, 8, 16, 32, 64), labels = c(1/4, 1/2, 1, 2, 4, 8, 16, 32, 64)) +
  scale_y_continuous(breaks = seq(0, 1, 0.2)) +
  theme(legend.position = "bottom", legend.title = element_blank(), plot.subtitle = element_text(size = 10, color = "gray20"), legend.text = element_text(size = 8)) +
  guides(fill = guide_legend(nrow = 2),
         color = guide_legend(nrow=2)) 
  }

pta_all4 <- pta_data4(out)
plot_pta4(pta_all4)

Code
pta_filtered4 <- pta_data4(out %>% filter(MIC > 4))
plot_pta4(pta_filtered4)

PTA in tinf = 12h by type of analysis

Code
set.seed(123456)
plan(multisession, workers = 12)

out6bayes <- future_map(1:250, sim_fun, mod = pk_mod, df = df_draws, .tinf = 3, .dosecef = 2, .dosetaz = 1, .ii = 12) %>%
  bind_rows()
out7cmt1 <- future_map(1:250, sim_fun_1cmt, mod = mod, df = post, .tinf = 3, .dosecef = 2, .dosetaz = 1, .ii = 12) %>%
  bind_rows()

out60 <- out6bayes %>% mutate(dose = "3g q12h tinf=3h BAYES")
out70 <- out7cmt1 %>% mutate(dose = "3g q12h tinf=3h 1CMT")
out <-  rbind(out60, out70)

pta_data5 <- function(data) {
  data %>%  
  group_by(MIC, dose)%>%
  summarise(my = median(PTA),
            hy = quantile(PTA, probs = 0.95),
            ly = quantile(PTA, probs = 0.05))
}

plot_pta5 <- function(sumdata) {
  ggplot(sumdata) +
  geom_line(aes(x = MIC, y = my, color = dose)) +
  geom_ribbon(aes(x = MIC, ymin = ly, ymax = hy, color = dose, fill = dose), alpha = 0.3) +
  geom_hline(yintercept = 0.9, color = 'grey30', linetype = "dashed") +
  labs(title = "Probability of target attainment - dose", 
       subtitle = "CEFTOLOZANE: %fT MIC of 30%\nTAZOBACTAM: %fT CT of 20% for a CT of 1 ug/ml", 
       x = "MIC", y = "PTA")  +
  scale_color_manual(values = c("3g q12h tinf=3h BAYES" = "#5A2E3A","3g q12h tinf=3h 1CMT" = "#2F4A3D")) +
  scale_fill_manual(values = c("3g q12h tinf=3h BAYES" = "#5A2E3A","3g q12h tinf=3h 1CMT" = "#2F4A3D")) +
  scale_x_continuous(transform = "log2",breaks = c(1/4, 1/2, 1, 2, 4, 8, 16, 32, 64), labels = c(1/4, 1/2, 1, 2, 4, 8, 16, 32, 64)) +
  scale_y_continuous(breaks = seq(0, 1, 0.2)) +
  theme(legend.position = "bottom", legend.title = element_blank(), plot.subtitle = element_text(size = 10, color = "gray20"))
  }

pta_all5 <- pta_data5(out)
plot_pta5(pta_all5)

Code
pta_filtered5 <- pta_data5(out %>% filter(MIC > 4))
plot_pta5(pta_filtered5)

Bootstrap

1CMT

Code
BS_DIR <- here::here("model/nonmem/bootstrap/bs")
BS_DATA_DIR <- here::here(BS_DIR, "data")

if(!dir.exists(BS_DIR)) dir.create(BS_DIR)
if(!dir.exists(BS_DATA_DIR)) dir.create(BS_DATA_DIR)
Code
template_ctl <- readLines(
  file.path(BS_DIR, "100bs.mod")
)

RUN <- seq(500) 

set.seed(123456)

nmdata <- xdata

make_boot_run <- function(n, data, template, boot_dir, strat_cols = NULL, 
                          overwrite = FALSE,  seed = 123456){
  
  if (n %% 10 == 0) message(glue("Created {n} bootstrap data sets"))
  mod_name <- str_pad(paste0(n), width=3, pad="0")
  
  mod_path <- glue("{boot_dir}/{mod_name}")
  
  if(file.exists(paste0(mod_path, ".yaml")) && !overwrite) {
    return(read_model(mod_path))
  }
  
    data_new <- resample_df(
     data,
     key_cols = "ID",
     strat_cols = strat_cols)

  data_new <- rename(data_new, OID = ID, ID = KEY)
  data_new <- select(data_new, unique(c(names(data), "OID")))
  csv_file <- glue("{boot_dir}/data/{mod_name}.csv")
  fwrite(data_new, csv_file , na = '.', quote = FALSE, col.names = FALSE )
  new_ctl <- whisker.render(template, list(run_num = mod_name))
  write_file(new_ctl, file = paste0(mod_path, ".ctl"))
  
  mod <- new_model(
    mod_path,
    .description = glue("bootstrap {mod_name}"), 
    .overwrite = overwrite)
  
  mod
}

models <- map(
  RUN, 
  data = nmdata, 
  .f = make_boot_run, 
  template = template_ctl, 
  boot_dir = BS_DIR, 
  strat_cols = NULL,
  overwrite = FALSE #set TRUE to run models and create datasets
)
Code
set.seed(123456)

#bbi.yaml file needs to be in bs folder

heavt_comp <- function(x) {
  options(bbr.bbi_exe_path = "C:/Users/pauoku/AppData/Roaming/bbi/bbi.exe")  ### need to be changed to your directory

  out <- bbr::submit_models(
  models[x],
  .config_path = here::here("model/nonmem/bootstrap/bs/bbi.yaml"),
  .bbi_args = list(overwrite = F, threads = 1)
)
}
########### NEED TO BE RUN IF YOU WANT TO CHECK #############
# cl <- makeCluster(detectCores())
# clusterExport(cl, "models")
# results_par <- parLapply(cl, RUN, heavt_comp)

Summary of parameter estimates:

Code
boot <- param_estimates_batch(BS_DIR)
err <- filter(boot, !is.na(error_msg))
nrow(err)
[1] 0
Code
head(boot)
# A tibble: 6 × 18
  absolute_model_path      run   error_msg termination_code THETA1 THETA2 THETA3
  <chr>                    <chr> <lgl>                <dbl>  <dbl>  <dbl>  <dbl>
1 D:/PROJECTS/ceftolozane… 001   NA                       0   27.1   4.85   42.9
2 D:/PROJECTS/ceftolozane… 002   NA                       0   32.1   6.70   62.4
3 D:/PROJECTS/ceftolozane… 003   NA                       0   28.8   5.56   64.3
4 D:/PROJECTS/ceftolozane… 004   NA                       0   31.9   6.81   49.5
5 D:/PROJECTS/ceftolozane… 005   NA                       0   28.7   5.43   52.8
6 D:/PROJECTS/ceftolozane… 006   NA                       0   32.5   6.75   58.8
# ℹ 11 more variables: THETA4 <dbl>, THETA5 <dbl>, `SIGMA(1,1)` <dbl>,
#   `SIGMA(2,1)` <dbl>, `SIGMA(2,2)` <dbl>, `OMEGA(1,1)` <dbl>,
#   `OMEGA(2,1)` <dbl>, `OMEGA(2,2)` <dbl>, `OMEGA(3,1)` <dbl>,
#   `OMEGA(3,2)` <dbl>, `OMEGA(3,3)` <dbl>
Code
# n_total   <- nrow(boot)
# n_failed  <- sum(!is.na(boot$error_msg))
# n_success <- n_total - n_failed
# 
# percent_success <- n_success / n_total * 100
# round(percent_success, 1)

Generate parameter sets

Code
set.seed(123456)

post <- boot %>%
  rename_with(~ gsub("\\(|\\)|,", "", .x), starts_with("OMEGA")) %>%
  rename_with(~ gsub("\\(|\\)|,", "", .x), starts_with("SIGMA")) %>% 
  mutate(iter = row_number()) %>% 
  select(-c(error_msg, termination_code, absolute_model_path))
Code
sim_fun_boot <- function(i, mod = mod, df = post, .tinf, .dosecef, .dosetaz, .ii = 8) {

ptab <- df[i,]

omega_values <- c(
    ptab$OMEGA11, ptab$OMEGA21, ptab$OMEGA22,
    ptab$OMEGA31, ptab$OMEGA32, ptab$OMEGA33
  )
  if (any(is.na(omega_values))) {
    warning("Missing OMEGA values for iteration ", i)
    return(NULL) 
  }

Omega = as_bmat(list(OMEGA1.1=ptab$OMEGA11,
     OMEGA2.1=ptab$OMEGA21,
     OMEGA2.2=ptab$OMEGA22,
     OMEGA3.1=ptab$OMEGA31, 
     OMEGA3.2=ptab$OMEGA32, 
     OMEGA3.3=ptab$OMEGA33), "OMEGA")

omega_det <- det(Omega)
  if (is.na(omega_det) || omega_det <= 0) {
    warning("Invalid Omega matrix: determinant is NA or <= 0 for iteration ", i)
    return(NULL) 
  }

nsubj <- 250
dt = 0.1

presim_data_1 <- data.frame(
  ID = 1:nsubj,
  TIME = 0,
  EVID = 1,
  CMT = 1,
  ADDL = 21,
  AMT = .dosecef,
  RATE = (.dosecef/.tinf),
  II = .ii) 

presim_data_2 <- presim_data_1 %>%
  mutate(AMT = .dosetaz, 
         CMT = 3, 
         RATE = (.dosetaz/.tinf))

presim_data <- rbind(presim_data_1, presim_data_2)%>%
  arrange(ID, TIME, CMT)

mod = mod %>% omat(Omega) %>% update(param = list(THETA1 = ptab$THETA1,
                                     THETA2 = ptab$THETA2,
                                     THETA3 = ptab$THETA3,
                                     THETA4 = ptab$THETA4,
                                     THETA5 = ptab$THETA5))

ifelse(det(Omega) <= 0, NA, det(Omega))

pk_sim_1 <- mrgsim_df(mod,
                    data = presim_data,
                    add = c(seq(0, 8, dt) + 48),
                    tad = T,
                    recover = "ID")%>%
  select(ID, TIME, TAD = tad, CEF, TAZ) %>%
  filter(TIME >= 48 & TIME < 48 + 8) %>%
  tidyr::expand_grid(MIC = exp(seq(log(1/4), log(64), length.out = 64))) %>%
  group_by(MIC, ID) %>%
  summarise(TARGET1 = (length(which(0.8 * CEF * 1000 >= MIC)) * dt) >= 0.3 * 8, ### CEF
            TARGET2 = (length(which(0.7 * TAZ * 1000 >= 1)) * dt) >= 0.2 * 8) %>% ### TAZ 
  group_by(MIC) %>%
  summarise(PTA = mean(as.numeric(TARGET1 & TARGET2)),
            PTAC = mean(as.numeric(TARGET1)),
            PTAT = mean(as.numeric(TARGET2))) %>%
  mutate(irep = i)
}

Params table

Code
set.seed(123456)

calc_stats <- function(x) {
  mean_val <- mean(x, na.rm = TRUE)
  sd_val <- sd(x, na.rm = TRUE)
  ci <- quantile(x, probs = c(0.025, 0.975), na.rm = TRUE) # 95% CI
  rse <- sd_val / mean_val
  cv <- (sd_val / mean_val) * 100

   tibble(
    Mean = round(mean_val, 3),
    SD = round(sd_val, 3),
    `95%CI Lower` = round(ci[1], 3),
    `95%CI Upper` = round(ci[2], 3),
    RSE = round(rse, 3),
    `CV%` = round(cv, 3)
  )
}

head(post)
# A tibble: 6 × 16
  run   THETA1 THETA2 THETA3 THETA4 THETA5 SIGMA11 SIGMA21 SIGMA22 OMEGA11
  <chr>  <dbl>  <dbl>  <dbl>  <dbl>  <dbl>   <dbl>   <dbl>   <dbl>   <dbl>
1 001     27.1   4.85   42.9   12.4  0.824  0.0382       0  0.0574  0.0851
2 002     32.1   6.70   62.4   17.2  1.02   0.0494       0  0.0635  0.0297
3 003     28.8   5.56   64.3   15.7  0.681  0.0365       0  0.0736  0.0466
4 004     31.9   6.81   49.5   16.3  1.15   0.0466       0  0.0522  0.0936
5 005     28.7   5.43   52.8   14.9  0.852  0.0404       0  0.0684  0.0780
6 006     32.5   6.75   58.8   14.9  0.825  0.0488       0  0.0589  0.0379
# ℹ 6 more variables: OMEGA21 <dbl>, OMEGA22 <dbl>, OMEGA31 <dbl>,
#   OMEGA32 <dbl>, OMEGA33 <dbl>, iter <int>
Code
model_dir <- here::here("model/nonmem/basic")
model_run <- 100

key <- yaml_as_df(here::here(model_dir, model_run, "parm.yaml"))

params_df <- as.data.frame(post) %>% 
  select(starts_with("THETA"), starts_with("OMEGA"), starts_with("SIGMA"))

params_long <- params_df %>%
  pivot_longer(cols = everything(), names_to = "name", values_to = "Value") %>%
  left_join(key, by = "name")

param_df <- params_long %>%
  group_by(name, abb, panel) %>%
  summarise(
    Mean_raw = mean(Value, na.rm = TRUE),
    SD_raw = sd(Value, na.rm = TRUE),
    Lower_raw = quantile(Value, 0.025, na.rm = TRUE),
    Upper_raw = quantile(Value, 0.975, na.rm = TRUE),
    RSE_raw = SD_raw / Mean_raw * 100,
    .groups = "drop") %>%
  mutate(Mean = case_when(
    grepl("THETA", name) ~ round(Mean_raw, 2),
    panel == "RV" ~ round(Mean_raw, 4),
    TRUE ~ round(Mean_raw, 3)),
    SD = case_when(
      grepl("THETA", name) ~ round(SD_raw, 2),
      panel == "RV" ~ round(SD_raw, 4),
      TRUE ~ round(SD_raw, 3)),
    Lower = case_when(
      grepl("THETA", name) ~ round(Lower_raw, 2),
      panel == "RV" ~ round(Lower_raw, 4),
      TRUE ~ round(Lower_raw, 3)),
    Upper = case_when(
      grepl("THETA", name) ~ round(Upper_raw, 2),
      panel == "RV" ~ round(Upper_raw, 4),
      TRUE ~ round(Upper_raw, 3)),
    RSE = case_when(
      grepl("THETA", name) ~ round(RSE_raw, 2),
      panel == "RV" ~ round(RSE_raw, 4),
      TRUE ~ round(RSE_raw, 3)),
    `95% CI` = paste0("[", Lower, ", ", Upper, "]")) %>%
  select(type = panel, Parameter = abb, Mean, SD, `95% CI`, RSE) %>%
  na.omit()

panel_order <- c("struct", "IIV", "RV")
param_df <- param_df %>%
  mutate(type = factor(type, levels = panel_order)) %>%
  arrange(type, Parameter)

png_table <- param_df %>%
  st_new() %>%
  st_panel("type", duplicates_ok = TRUE) %>%
  st_center(Parameter = "l") %>%
  stable() 
Code
st_as_image(png_table)

PTA final plots

PTA in tinf = 8h by type of analysis

Code
plan(multisession, workers = 12)

out1boot <- future_map(1:250, sim_fun_boot, mod = mod, df = post, .tinf = 3, .dosecef = 2, .dosetaz = 1, .options = furrr_options(seed = TRUE)) %>%
  bind_rows()

out10 <- out1 %>% mutate(dose = "3g q8h tinf=3h 2CMT BAYES")
out30 <- out1cmt1 %>% mutate(dose = "3g q8h tinf=3h 1CMT COVARIANCE")
out50 <- out1boot %>% mutate(dose = "3g q8h tinf=3h 1CMT BOOTSTRAP")
out <-  rbind(out10, out30, out50)

pta_data6 <- function(data) {
  data %>%  
  group_by(MIC, dose)%>%
  summarise(my = median(PTA),
            hy = quantile(PTA, probs = 0.95),
            ly = quantile(PTA, probs = 0.05))
}

statistics <- out %>% 
  group_by(dose, irep) %>%  
  summarise(MIC90=interp1(PTA, MIC, .9)) %>% 
  ungroup() %>% 
  group_by(dose) %>%  
  summarise(my = median(MIC90),
            hy = quantile(MIC90, probs = 0.95),
            ly = quantile(MIC90, probs = 0.05)) %>% 
  mutate(across(where(is.numeric), round, 2))

statistics
# A tibble: 3 × 4
  dose                              my    hy    ly
  <chr>                          <dbl> <dbl> <dbl>
1 3g q8h tinf=3h 1CMT BOOTSTRAP   21.6  30.5  16.0
2 3g q8h tinf=3h 1CMT COVARIANCE  19.9  26.9  13.6
3 3g q8h tinf=3h 2CMT BAYES       27.0  31.1  21.8
Code
plot_pta6 <- function(sumdata) {
  ggplot(sumdata) +
  geom_line(aes(x = MIC, y = my, color = dose)) +
  geom_ribbon(aes(x = MIC, ymin = ly, ymax = hy, color = dose, fill = dose), alpha = 0.2) +
  geom_hline(yintercept = 0.9, color = 'grey30', linetype = "dashed") +
  labs(title = "Probability of target attainment - 3g q8h", 
       subtitle = "CEFTOLOZANE: %fT MIC of 30%\nTAZOBACTAM: %fT CT of 20% for a CT of 1 ug/ml", 
       x = "MIC", y = "PTA")  +
  scale_color_manual(values = c("3g q8h tinf=3h 2CMT BAYES" = "#3A5F2F", "3g q8h tinf=3h 1CMT COVARIANCE" = "#7A1C2B", "3g q8h tinf=3h 1CMT BOOTSTRAP" = "#E6B12C")) +
  scale_fill_manual(values = c("3g q8h tinf=3h 2CMT BAYES" = "#3A5F2F", "3g q8h tinf=3h 1CMT COVARIANCE" = "#7A1C2B", "3g q8h tinf=3h 1CMT BOOTSTRAP" = "#E6B12C")) +
  scale_x_continuous(transform = "log2",breaks = c(1/4, 1/2, 1, 2, 4, 8, 16, 32, 64), labels = c(1/4, 1/2, 1, 2, 4, 8, 16, 32, 64)) +
  scale_y_continuous(breaks = seq(0, 1, 0.2)) +
  theme(legend.position = "bottom", legend.title = element_blank(), plot.subtitle = element_text(size = 10, color = "gray20"), legend.text = element_text(size = 8)) #+
 # guides(fill = guide_legend(nrow = 2),
 #        color = guide_legend(nrow=2))
  }

pta_all6 <- pta_data6(out)
plot_pta6(pta_all6)

Code
pta_filtered6 <- pta_data6(out %>% filter(MIC > 4))
plot_pta6(pta_filtered6)

Code
plot_pta_facet <- function(sumdata) {

  doses_plot1 <- c("3g q8h tinf=3h 2CMT BAYES",
                   "3g q8h tinf=3h 1CMT COVARIANCE")

  doses_plot2 <- c("3g q8h tinf=3h 2CMT BAYES",
                   "3g q8h tinf=3h 1CMT BOOTSTRAP")

  df1 <- sumdata %>% filter(dose %in% doses_plot1) %>%
    mutate(dose = str_replace(dose, " tinf=3h ", " tinf=3h\n"))  
  df2 <- sumdata %>% filter(dose %in% doses_plot2) %>%
    mutate(dose = str_replace(dose, " tinf=3h ", " tinf=3h\n"))
  
  plot1 <- ggplot(df1) +
    geom_line(aes(x = MIC, y = my, color = dose)) +
    geom_ribbon(aes(x = MIC, ymin = ly, ymax = hy, fill = dose), alpha = 0.2) +
    geom_hline(yintercept = 0.9, color = 'grey30', linetype = "dashed") + labs(x = "MIC", y = "PTA") +
    # labs(title = "Probability of target attainment - 3g q8h",
    #      subtitle = "CEFTOLOZANE: %fT MIC of 30%\nTAZOBACTAM: %fT CT of 20% for a CT of 1 ug/ml",
    #      x = "MIC", y = "PTA") +
   scale_color_manual(values = c("3g q8h tinf=3h\n2CMT BAYES"="#3A5F2F",
                                  "3g q8h tinf=3h\n1CMT COVARIANCE"="#7A1C2B"),
                       name = NULL) +
    scale_fill_manual(values = c("3g q8h tinf=3h\n2CMT BAYES"="#3A5F2F",
                                 "3g q8h tinf=3h\n1CMT COVARIANCE"="#7A1C2B"),
                      name = NULL) +
    scale_x_continuous(transform = "log2", breaks = c(1/4, 1/2, 1, 2, 4, 8, 16, 32, 64), labels = c(1/4, 1/2, 1, 2, 4, 8, 16, 32, 64)) +
    scale_y_continuous(breaks = seq(0, 1, 0.2)) 

   plot2 <- ggplot(df2) +
     geom_line(aes(x = MIC, y = my, color = dose)) +
     geom_ribbon(aes(x = MIC, ymin = ly, ymax = hy, fill = dose), alpha = 0.2) +
     geom_hline(yintercept = 0.9, color = 'grey30', linetype = "dashed") + labs(x = "MIC", y = "PTA") +
     # labs(title = "Probability of target attainment - 3g q8h",
     #      subtitle = "CEFTOLOZANE: %fT MIC of 30%\nTAZOBACTAM: %fT CT of 20% for a CT of 1 ug/ml",
     #      x = "MIC", y = "PTA") +
      scale_color_manual(values = c("3g q8h tinf=3h\n2CMT BAYES"="#3A5F2F",
                                  "3g q8h tinf=3h\n1CMT BOOTSTRAP"="#E6B12C"),
                       name = NULL) +
    scale_fill_manual(values = c("3g q8h tinf=3h\n2CMT BAYES"="#3A5F2F",
                                 "3g q8h tinf=3h\n1CMT BOOTSTRAP"="#E6B12C"),
                      name = NULL) +
     scale_x_continuous(transform = "log2",breaks = c(1/4, 1/2, 1, 2, 4, 8, 16, 32, 64), labels = c(1/4, 1/2, 1, 2, 4, 8, 16, 32, 64)) +
     scale_y_continuous(breaks = seq(0, 1, 0.2)) 
 
 combined <- (plot1 | plot2) &        
  plot_annotation(
    title = "Probability of Target Attainment - 3g q8h",
    subtitle = "CEFTOLOZANE: %fT MIC of 30%\nTAZOBACTAM: %fT CT of 20% for a CT of 1 ug/ml") &
   theme(legend.position = "bottom", 
         legend.title = element_blank(), 
         plot.subtitle = element_text(size = 9, color = "gray20"),
         legend.text = element_text(size = 8)) & plot_layout(guides = "collect")
 
  return(combined) 
}

sumdata <- pta_data6(out)

pta_all_facet <- plot_pta_facet(sumdata)
pta_all_facet

Code
pta_filtered_facet <- plot_pta_facet(sumdata %>% filter(MIC > 4))
pta_filtered_facet

PTA in tinf = 12h by type of analysis

Code
plan(multisession, workers = 12)

out2boot <- future_map(1:250, sim_fun_boot, mod = mod, df = post, .tinf = 3, .dosecef = 2, .dosetaz = 1, .ii = 12) %>%
  bind_rows()

out60 <- out6bayes %>% mutate(dose = "3g q12h tinf=3h 2CMT BAYES")
out70 <- out7cmt1 %>% mutate(dose = "3g q12h tinf=3h 1CMT COVARIANCE")
out80 <- out2boot %>% mutate(dose = "3g q12h tinf=3h 1CMT BOOTSTRAP")
out <-  rbind(out60, out70, out80)

pta_data7 <- function(data) {
  data %>%  
  group_by(MIC, dose)%>%
  summarise(my = median(PTA),
            hy = quantile(PTA, probs = 0.95),
            ly = quantile(PTA, probs = 0.05))
}

statistics <- out %>% 
  group_by(dose, irep) %>%  
  summarise(MIC90=interp1(PTA, MIC, .9)) %>% 
  ungroup() %>% 
  group_by(dose) %>%  
  summarise(my = median(MIC90),
            hy = quantile(MIC90, probs = 0.95),
            ly = quantile(MIC90, probs = 0.05))  %>% 
  mutate(across(where(is.numeric), ~ round(.x,2)))

statistics
# A tibble: 3 × 4
  dose                               my    hy    ly
  <chr>                           <dbl> <dbl> <dbl>
1 3g q12h tinf=3h 1CMT BOOTSTRAP   19.7  27.1  14.7
2 3g q12h tinf=3h 1CMT COVARIANCE  18.1  23.2  12.4
3 3g q12h tinf=3h 2CMT BAYES       24.3  27.7  20.2
Code
plot_pta7 <- function(sumdata) {
  ggplot(sumdata) +
  geom_line(aes(x = MIC, y = my, color = dose)) +
  geom_ribbon(aes(x = MIC, ymin = ly, ymax = hy, color = dose, fill = dose), alpha = 0.3) +
  geom_hline(yintercept = 0.9, color = 'grey30', linetype = "dashed") +
  labs(title = "Probability of target attainment - 3g q12h", 
       subtitle = "CEFTOLOZANE: %fT MIC of 30%\nTAZOBACTAM: %fT CT of 20% for a CT of 1 ug/ml", 
       x = "MIC", y = "PTA")  +
 scale_color_manual(values = c("3g q12h tinf=3h 2CMT BAYES" = "#3A5F2F", "3g q12h tinf=3h 1CMT COVARIANCE" = "#7A1C2B", "3g q12h tinf=3h 1CMT BOOTSTRAP" = "#E6B12C")) +
scale_fill_manual(values = c("3g q12h tinf=3h 2CMT BAYES" = "#3A5F2F", "3g q12h tinf=3h 1CMT COVARIANCE" = "#7A1C2B", "3g q12h tinf=3h 1CMT BOOTSTRAP" = "#E6B12C")) +
  scale_x_continuous(transform = "log2",breaks = c(1/4, 1/2, 1, 2, 4, 8, 16, 32, 64), labels = c(1/4, 1/2, 1, 2, 4, 8, 16, 32, 64)) +
  scale_y_continuous(breaks = seq(0, 1, 0.2)) +
  theme(legend.position = "bottom", legend.title = element_blank(), plot.subtitle = element_text(size = 10, color = "gray20"),  legend.text = element_text(size = 8))  
  }

pta_all7 <- pta_data7(out)
plot_pta7(pta_all7)

Code
pta_filtered7 <- pta_data7(out %>% filter(MIC > 4))
plot_pta7(pta_filtered7)

Code
plot_pta_facet2 <- function(sumdata) {

  doses_plot1 <- c("3g q12h tinf=3h 2CMT BAYES",
                   "3g q12h tinf=3h 1CMT COVARIANCE")

  doses_plot2 <- c("3g q12h tinf=3h 2CMT BAYES",
                   "3g q12h tinf=3h 1CMT BOOTSTRAP")

  df1 <- sumdata %>% filter(dose %in% doses_plot1) %>%
    mutate(dose = str_replace(dose, " tinf=3h ", " tinf=3h\n"))  
  df2 <- sumdata %>% filter(dose %in% doses_plot2) %>%
    mutate(dose = str_replace(dose, " tinf=3h ", " tinf=3h\n"))
  
  plot1 <- ggplot(df1) +
    geom_line(aes(x = MIC, y = my, color = dose)) +
    geom_ribbon(aes(x = MIC, ymin = ly, ymax = hy, fill = dose), alpha = 0.2) +
    geom_hline(yintercept = 0.9, color = 'grey30', linetype = "dashed") + labs(x = "MIC", y = "PTA") +
    # labs(title = "Probability of target attainment - 3g q12h",
    #      subtitle = "CEFTOLOZANE: %fT MIC of 30%\nTAZOBACTAM: %fT CT of 20% for a CT of 1 ug/ml",
    #      x = "MIC", y = "PTA") +
  scale_color_manual(values = c("3g q12h tinf=3h\n2CMT BAYES"="#3A5F2F",  
                                  "3g q12h tinf=3h\n1CMT COVARIANCE"="#7A1C2B"),
                       name = NULL) +
    scale_fill_manual(values = c("3g q12h tinf=3h\n2CMT BAYES"="#3A5F2F",
                                 "3g q12h tinf=3h\n1CMT COVARIANCE"="#7A1C2B"),
                      name = NULL) +  
    scale_x_continuous(transform = "log2", breaks = c(1/4, 1/2, 1, 2, 4, 8, 16, 32, 64), labels = c(1/4, 1/2, 1, 2, 4, 8, 16, 32, 64)) +
    scale_y_continuous(breaks = seq(0, 1, 0.2)) 
  
   plot2 <- ggplot(df2) +
     geom_line(aes(x = MIC, y = my, color = dose)) +
     geom_ribbon(aes(x = MIC, ymin = ly, ymax = hy, fill = dose), alpha = 0.2) +
     geom_hline(yintercept = 0.9, color = 'grey30', linetype = "dashed") + labs(x = "MIC", y = "PTA") +
     # labs(title = "Probability of target attainment - 3g q12h",
     #      subtitle = "CEFTOLOZANE: %fT MIC of 30%\nTAZOBACTAM: %fT CT of 20% for a CT of 1 ug/ml",
     #      x = "MIC", y = "PTA") +
      scale_color_manual(values = c("3g q12h tinf=3h\n2CMT BAYES"="#3A5F2F",
                                  "3g q12h tinf=3h\n1CMT BOOTSTRAP"="#E6B12C"),
                       name = NULL) + 
    scale_fill_manual(values = c("3g q12h tinf=3h\n2CMT BAYES"="#3A5F2F",
                                 "3g q12h tinf=3h\n1CMT BOOTSTRAP"="#E6B12C"),
                      name = NULL) +
     scale_x_continuous(transform = "log2",breaks = c(1/4, 1/2, 1, 2, 4, 8, 16, 32, 64), labels = c(1/4, 1/2, 1, 2, 4, 8, 16, 32, 64)) +
     scale_y_continuous(breaks = seq(0, 1, 0.2))

 combined <- (plot1 | plot2) &        
  plot_annotation(
    title = "Probability of Target Attainment - 3g q12h",
    subtitle = "CEFTOLOZANE: %fT MIC of 30%\nTAZOBACTAM: %fT CT of 20% for a CT of 1 ug/ml") &
   theme(legend.position = "bottom", 
         legend.title = element_blank(), 
         plot.subtitle = element_text(size = 9, color = "gray20"),
         legend.text = element_text(size = 8)) &  plot_layout(guides = "collect")
 
  return(combined) 
}

sumdata <- pta_data7(out)

pta_all_facet2 <- plot_pta_facet2(sumdata)
pta_all_facet2

Code
pta_filtered_facet2 <- plot_pta_facet2(sumdata %>% filter(MIC > 4))
pta_filtered_facet2

Code
plot_pta_facet2 <- function(sumdata) {
  doses_plot1 <- c("3g q12h tinf=3h 2CMT BAYES",
                   "3g q12h tinf=3h 1CMT COVARIANCE")
  doses_plot2 <- c("3g q12h tinf=3h 2CMT BAYES",
                   "3g q12h tinf=3h 1CMT BOOTSTRAP")
  df1 <- sumdata %>% filter(dose %in% doses_plot1)
  df2 <- sumdata %>% filter(dose %in% doses_plot2)
 
  plot1 <- ggplot(df1) +
    geom_line(aes(x = MIC, y = my, color = dose)) +
    geom_ribbon(aes(x = MIC, ymin = ly, ymax = hy, fill = dose), alpha = 0.2) +
    geom_hline(yintercept = 0.9, color = 'grey30', linetype = "dashed") + 
    labs(x = "MIC", y = "PTA") +
    scale_color_manual(values = c("3g q12h tinf=3h 2CMT BAYES"="#3A5F2F",
                                  "3g q12h tinf=3h 1CMT COVARIANCE"="#7A1C2B"),
                       labels = c("3g q12h tinf=3h 2CMT BAYES" = "3g q12h tinf=3h\n2CMT BAYES",
                                  "3g q12h tinf=3h 1CMT COVARIANCE" = "3g q12h tinf=3h\n1CMT COVARIANCE"),
                       name = NULL) +
    scale_fill_manual(values = c("3g q12h tinf=3h 2CMT BAYES"="#3A5F2F",
                                 "3g q12h tinf=3h 1CMT COVARIANCE"="#7A1C2B"),
                      labels = c("3g q12h tinf=3h 2CMT BAYES" = "3g q12h tinf=3h\n2CMT BAYES",
                                 "3g q12h tinf=3h 1CMT COVARIANCE" = "3g q12h tinf=3h\n1CMT COVARIANCE"),
                      name = NULL) +
    scale_x_continuous(transform = "log2", breaks = c(1/4, 1/2, 1, 2, 4, 8, 16, 32, 64), labels = c(1/4, 1/2, 1, 2, 4, 8, 16, 32, 64)) +
    scale_y_continuous(breaks = seq(0, 1, 0.2)) + 
    theme(legend.position = "bottom")
 
  plot2 <- ggplot(df2) +
    geom_line(aes(x = MIC, y = my, color = dose)) +
    geom_ribbon(aes(x = MIC, ymin = ly, ymax = hy, fill = dose), alpha = 0.2) +
    geom_hline(yintercept = 0.9, color = 'grey30', linetype = "dashed") + 
    labs(x = "MIC", y = "PTA") +
    scale_color_manual(values = c("3g q12h tinf=3h 2CMT BAYES"="#3A5F2F",
                                  "3g q12h tinf=3h 1CMT BOOTSTRAP"="#E6B12C"),
                       labels = c("3g q12h tinf=3h 2CMT BAYES" = "3g q12h tinf=3h\n2CMT BAYES",
                                  "3g q12h tinf=3h 1CMT BOOTSTRAP" = "3g q12h tinf=3h\n1CMT BOOTSTRAP"),
                       name = NULL) +
    scale_fill_manual(values = c("3g q12h tinf=3h 2CMT BAYES"="#3A5F2F",
                                 "3g q12h tinf=3h 1CMT BOOTSTRAP"="#E6B12C"),
                      labels = c("3g q12h tinf=3h 2CMT BAYES" = "3g q12h tinf=3h\n2CMT BAYES",
                                 "3g q12h tinf=3h 1CMT BOOTSTRAP" = "3g q12h tinf=3h\n1CMT BOOTSTRAP"),
                      name = NULL) +
    scale_x_continuous(transform = "log2", breaks = c(1/4, 1/2, 1, 2, 4, 8, 16, 32, 64), labels = c(1/4, 1/2, 1, 2, 4, 8, 16, 32, 64)) +
    scale_y_continuous(breaks = seq(0, 1, 0.2)) + 
    theme(legend.position = "bottom")
 
  combined <- (plot1 | plot2) &
    plot_annotation(
      title = "Probability of Target Attainment - 3g q12h",
      subtitle = "CEFTOLOZANE: %fT MIC of 30%\nTAZOBACTAM: %fT CT of 20% for a CT of 1 ug/ml") &
    theme(legend.position = "bottom",
          legend.title = element_blank(),
          legend.direction = "horizontal",
          plot.subtitle = element_text(size = 9, color = "gray20"),
          legend.text = element_text(size = 7)) &
    guides(color = guide_legend(nrow = 1),
           fill = guide_legend(nrow = 1)) &
    plot_layout(guides = "collect")
  
  return(combined)
}

2CMT

Code
BS_DIR <- here::here("model/nonmem/bootstrap/bs102")
BS_DATA_DIR <- here::here(BS_DIR, "data")

if(!dir.exists(BS_DIR)) dir.create(BS_DIR)
if(!dir.exists(BS_DATA_DIR)) dir.create(BS_DATA_DIR)
  
template_ctl <- readLines(
  file.path(BS_DIR, "102bs.mod")
)

RUN <- seq(500) 

set.seed(123456)

nmdata <- xdata

make_boot_run <- function(n, data, template, boot_dir, strat_cols = NULL, 
                          overwrite = FALSE,  seed = 123456){
  
  if (n %% 10 == 0) message(glue("Created {n} bootstrap data sets"))
  mod_name <- str_pad(paste0(n), width=3, pad="0")
  
  mod_path <- glue("{boot_dir}/{mod_name}")
  
  if(file.exists(paste0(mod_path, ".yaml")) && !overwrite) {
    return(read_model(mod_path))
  }
  
    data_new <- resample_df(
     data,
     key_cols = "ID",
     strat_cols = strat_cols)

  data_new <- rename(data_new, OID = ID, ID = KEY)
  data_new <- select(data_new, unique(c(names(data), "OID")))
  csv_file <- glue("{boot_dir}/data/{mod_name}.csv")
  fwrite(data_new, csv_file , na = '.', quote = FALSE, col.names = FALSE )
  new_ctl <- whisker.render(template, list(run_num = mod_name))
  write_file(new_ctl, file = paste0(mod_path, ".ctl"))
  
  mod <- new_model(
    mod_path,
    .description = glue("bootstrap {mod_name}"), 
    .overwrite = overwrite)
  
  mod
}

models <- map(
  RUN, 
  data = nmdata, 
  .f = make_boot_run, 
  template = template_ctl, 
  boot_dir = BS_DIR, 
  strat_cols = NULL,
  overwrite = FALSE #set TRUE to run models and create datasets
)
Code
#bbi.yaml file needs to be in boot folder
# 
# out <- submit_models(
#   models,
#   .config_path = here("model/nonmem/basic/bbi.yaml"),
#   .bbi_args = list(overwrite = T, threads = 1)
# )


heavt_comp <- function(x) {
  options(bbr.bbi_exe_path = "C:/Users/pauoku/AppData/Roaming/bbi/bbi.exe")

  out <- bbr::submit_models(
  models[x],
  .config_path = here::here("model/nonmem/bootstrap/bs102/bbi.yaml"),
  .bbi_args = list(overwrite = F, threads = 1)
)

}

########### NEED TO BE RUN IF YOU WANT TO CHECK #############
# cl <- makeCluster(detectCores())
# clusterExport(cl, "models")
# results_par <- parLapply(cl, RUN, heavt_comp)

Summary of parameter estimates:

Code
boot <- param_estimates_batch(BS_DIR)
err <- filter(boot, !is.na(error_msg))
nrow(err)
[1] 0
Code
head(boot)
# A tibble: 6 × 18
  absolute_model_path      run   error_msg termination_code THETA1 THETA2 THETA3
  <chr>                    <chr> <lgl>                <dbl>  <dbl>  <dbl>  <dbl>
1 D:/PROJECTS/ceftolozane… 001   NA                       0   27.1   4.85   42.9
2 D:/PROJECTS/ceftolozane… 002   NA                       0   32.1   6.70   62.4
3 D:/PROJECTS/ceftolozane… 003   NA                       0   28.8   5.56   64.3
4 D:/PROJECTS/ceftolozane… 004   NA                       0   31.9   6.81   49.5
5 D:/PROJECTS/ceftolozane… 005   NA                       0   28.7   5.43   52.8
6 D:/PROJECTS/ceftolozane… 006   NA                       0   32.5   6.75   58.8
# ℹ 11 more variables: THETA4 <dbl>, THETA5 <dbl>, `SIGMA(1,1)` <dbl>,
#   `SIGMA(2,1)` <dbl>, `SIGMA(2,2)` <dbl>, `OMEGA(1,1)` <dbl>,
#   `OMEGA(2,1)` <dbl>, `OMEGA(2,2)` <dbl>, `OMEGA(3,1)` <dbl>,
#   `OMEGA(3,2)` <dbl>, `OMEGA(3,3)` <dbl>
Code
# n_total   <- nrow(boot)
# n_failed  <- sum(!is.na(boot$error_msg))
# n_success <- n_total - n_failed
# 
# percent_success <- n_success / n_total * 100
# round(percent_success, 1)

Generate parameter sets

Params table

Code
model_dir <- here::here("model/nonmem/basic")
model_run <- 102

key <- yaml_as_df(here::here(model_dir, model_run, "parm.yaml"))

params_df <- as.data.frame(post) 

params_df <- params_df %>%
  select(starts_with("THETA"), starts_with("OMEGA"), starts_with("SIGMA"))

num_theta8_removed <- sum(params_df$THETA8 > 2000, na.rm = TRUE)
num_theta3_removed <- sum(params_df$THETA3 > 700, na.rm = TRUE)

num_theta8_removed
[1] 0
Code
num_theta3_removed
[1] 0
Code
params_long <- params_df %>%
  pivot_longer(cols = everything(), names_to = "name", values_to = "Value") %>%
  left_join(key, by = "name") %>%  
  filter(!(name == "THETA8" & Value > 2000)) %>% ###remove values >2000 
  filter(!(name == "THETA3" & Value > 700)) ###remove values >700 

param_df <- params_long %>%
  group_by(name, abb, panel) %>%
  summarise(
    Mean_raw = mean(Value, na.rm = TRUE),
    SD_raw = sd(Value, na.rm = TRUE),
    Lower_raw = quantile(Value, 0.025, na.rm = TRUE),
    Upper_raw = quantile(Value, 0.975, na.rm = TRUE),
    RSE_raw = SD_raw / Mean_raw * 100,
    .groups = "drop") %>%
  mutate(
     Mean = case_when(
      grepl("THETA", name) ~ round(Mean_raw, 2),
      panel == "RV" ~ round(Mean_raw, 4),
      TRUE ~ round(Mean_raw, 3)),
    SD = case_when(
      grepl("THETA", name) ~ round(SD_raw, 2),
      panel == "RV" ~ round(SD_raw, 4),
      TRUE ~ round(SD_raw, 3)),
    Lower = case_when(
      grepl("THETA", name) ~ round(Lower_raw, 2),
      panel == "RV" ~ round(Lower_raw, 4),
      TRUE ~ round(Lower_raw, 3)),
    Upper = case_when(
      grepl("THETA", name) ~ round(Upper_raw, 2),
      panel == "RV" ~ round(Upper_raw, 4),
      TRUE ~ round(Upper_raw, 3)),
    RSE = case_when(
      grepl("THETA", name) ~ round(RSE_raw, 2),
      panel == "RV" ~ round(RSE_raw, 4),
      TRUE ~ round(RSE_raw, 3)),
    `95% CI` = paste0("[", Lower, ", ", Upper, "]")) %>%
  select(type = panel, Parameter = abb, Mean, SD, `95% CI`, RSE) %>%
  na.omit()

panel_order <- c("struct", "IIV", "RV")

param_df <- param_df %>%
  mutate(type = factor(type, levels = panel_order)) %>%
  arrange(type, Parameter)

png_table <- param_df %>%
  st_new() %>%
  st_panel("type", duplicates_ok = TRUE) %>%
  st_center(Parameter = "l") %>%
  stable() 
Code
st_as_image(png_table)

Session Info

Code
sessionInfo()
R version 4.3.2 (2023-10-31 ucrt)
Platform: x86_64-w64-mingw32/x64 (64-bit)
Running under: Windows 11 x64 (build 26200)

Matrix products: default


locale:
[1] LC_COLLATE=Polish_Poland.utf8  LC_CTYPE=Polish_Poland.utf8   
[3] LC_MONETARY=Polish_Poland.utf8 LC_NUMERIC=C                  
[5] LC_TIME=Polish_Poland.utf8    

time zone: Europe/Warsaw
tzcode source: internal

attached base packages:
[1] parallel  stats     graphics  grDevices datasets  utils     methods  
[8] base     

other attached packages:
 [1] posterior_1.6.1      conflicted_1.2.0     PKNCA_0.12.1        
 [4] MESS_0.6.0           simpar_0.1.1         rlang_1.1.7         
 [7] furrr_0.3.1          future_1.70.0        tidybayes_3.0.7.9000
[10] loo_2.9.0            magick_2.9.1         yaml_2.3.12         
[13] magrittr_2.0.4       cowplot_1.2.0        gridExtra_2.3       
[16] cmdstanr_0.9.0.9000  nmrec_0.5.1          pmtables_0.10.1.9000
[19] scales_1.4.0         here_1.0.2           whisker_0.4.1       
[22] glue_1.8.0           stable_1.1.7         rmutil_1.1.10       
[25] lubridate_1.9.5      forcats_1.0.1        stringr_1.6.0       
[28] purrr_1.2.1          readr_2.2.0          tidyr_1.3.2         
[31] tibble_3.3.1         tidyverse_2.0.0      data.table_1.18.2.1 
[34] knitr_1.51           naniar_1.1.0         pmplots_0.5.2.9000  
[37] vpc_1.2.4            mrggsave_0.4.7       mrgsolve_1.8.0.9000 
[40] patchwork_1.3.2      ggplot2_4.0.2        dplyr_1.2.0         
[43] bayesplot_1.15.0     bbr.bayes_0.4.0      bbr_1.15.0          
[46] pracma_2.4.6        

loaded via a namespace (and not attached):
 [1] RColorBrewer_1.1-3      geeM_0.10.1             tensorA_0.36.2.1       
 [4] rstudioapi_0.18.0       jsonlite_2.0.0          farver_2.1.2           
 [7] rmarkdown_2.30          ragg_1.5.2              geepack_1.3.13         
[10] fs_2.0.1                vctrs_0.7.2             memoise_2.0.1          
[13] askpass_1.2.1           htmltools_0.5.9         distributional_0.7.0   
[16] haven_2.5.5             broom_1.0.12            gridGraphics_0.5-1     
[19] parallelly_1.46.1       KernSmooth_2.23-26      htmlwidgets_1.6.4      
[22] pdftools_3.7.0          plyr_1.8.9              cachem_1.1.0           
[25] lifecycle_1.0.5         pkgconfig_2.0.3         Matrix_1.6-5           
[28] R6_2.6.1                fastmap_1.2.0           digest_0.6.39          
[31] GGally_2.4.0            ps_1.9.1                rprojroot_2.1.1        
[34] textshaping_1.0.5       labeling_0.4.3          timechange_0.4.0       
[37] mgcv_1.9-1              abind_1.4-8             compiler_4.3.2         
[40] proxy_0.4-29            bit64_4.6.0-1           fontquiver_0.2.1       
[43] withr_3.0.2             S7_0.2.1                backports_1.5.0        
[46] ggstats_0.13.0          MASS_7.3-60.0.1         classInt_0.4-11        
[49] tools_4.3.2             otel_0.2.0              visdat_0.6.0           
[52] clipr_0.8.0             callr_3.7.6             nlme_3.1-168           
[55] grid_4.3.2              ggformula_1.0.1         checkmate_2.3.4        
[58] reshape2_1.4.5          generics_0.1.4          diffobj_0.3.6          
[61] gtable_0.3.6            labelled_2.16.0         tzdb_0.5.0             
[64] class_7.3-23            hms_1.1.4               utf8_1.2.6             
[67] pillar_1.11.1           ggdist_3.3.3            vroom_1.7.0            
[70] splines_4.3.2           lattice_0.22-9          renv_1.2.0             
[73] bit_4.6.0               tidyselect_1.2.1        fontLiberation_0.1.0   
[76] fontBitstreamVera_0.1.1 arrayhelpers_1.1-0      xfun_0.57              
[79] mosaicCore_0.9.5        matrixStats_1.5.0       stringi_1.8.7          
[82] qpdf_1.4.1              evaluate_1.0.5          codetools_0.2-20       
[85] gdtools_0.5.0           cli_3.6.5               systemfonts_1.3.2      
[88] processx_3.8.6          Rcpp_1.1.1              globals_0.19.1         
[91] coda_0.19-4.1           svUnit_1.0.8            assertthat_0.2.1       
[94] listenv_0.10.1          ggiraph_0.9.6           e1071_1.7-17           
[97] ggridges_0.5.7          crayon_1.5.3